International Journal of Anesthetics and Anesthesiology
Difficult Airway Management in Patients Submitted to General Anesthesia. Is it a Matter of Devices or Predictive Scores?
Lavinia Bergesio*, Nadia Ruggieri, Orazio Difrancesco, Enrico Giustiniano and Franco Cancellieri
Department of Anesthesia and Intensive Care, Humanitas Research Hospital, Rozzano, Milan, Italy
*Corresponding author: Lavinia Bergesio, Humanitas Research Hospital-Department of Anesthesia and Intensive Care, Via Manzoni 56 - 20089 Rozzano, Milan, Italy, Tel: +39 02 8224 4115, Fax +39 02 8224 4190, E-mail: lavinia.bergesio@humanitas.it
Int J Anesthetic Anesthesiol, IJAA-3-039, (Volume 3, Issue 1), Research Article; ISSN: 2377-4630
Received: November 13, 2015 | Accepted: January 11, 2016 | Published: January 13, 2016
Citation: Bergesio L, Ruggieri N, Difrancesco O, Giustiniano E, Cancellieri F (2016) Difficult Airway Management in Patients Submitted to General Anesthesia. Is it a Matter of Devices or Predictive Scores?. Int J Anesthetic Anesthesiol 3:039. 10.23937/2377-4630/3/1/1039
Copyright: © 2016 Bergesio L, et al. This is an open-access article distributed under the terms of the Creative Commons Attribution License, which permits unrestricted use, distribution, and reproduction in any medium, provided the original author and source are credited.
Abstract
Background: Incidence of difficult tracheal intubation in elective surgery population varies in a wide range, with estimated pooled frequency of 6.8%. Unanticipated difficult intubation has been reported in 1.5-8.5% of all general anesthesia. Among devices providing indirect laryngoscopy, Truview EVO2® offers advantages in terms of glottic exposure, short training, and low cost.
Methods: Retrospective review of unexpected difficult intubation among 24.500 patients scheduled for elective surgery under general anesthesia over a 44 months period. Direct laryngoscopy was first performed in all patients, thus, in case of any difficulty encountered, an alternative device was utilized. Incidence and characteristics of difficult intubation are reported. Preoperative airway evaluation parameters have been correlated with intubation difficulty.
Results: Difficult tracheal intubation (DTI) was observed in 0.4% (90 patients). Truview laryngoscope has been used in 59 of 90 patients and succeeded in achieving intubation in 75% of cases. Among risk factors for difficult intubation, neither Mallampati class nor Body Mass Index (BMI) were shown to have high predictive value. An El-Ganzouri Risk Index (EGRI) score of 3 has been estimated to represent the cut-off value between easy and difficult intubation.
Conclusion: Truview laryngoscope represents a useful tool in case of unexpected difficult intubation, and could be eventually introduced in a difficult airway management algorithm without burden on Unit costs and staff training. DTI predictive scores have been applied in clinical practice but still lack in cut-off values validation. As in our experience the risk score failed in predicting difficult airway, we speculate that the Anesthesiologist's confidence with one or more alternative intubation devices could obviate the need for predictive scores.
Introduction
Airway management is mostly performed in the operating room, and unexpected difficult tracheal intubation may be a life-threatening event which incidence varies in a wide range (Table 1) with estimated pooled frequency of 6.8% [1].
Table 1: Studies about the incidence of Difficult Tracheal Intubation (DTI)
View Table 1
Difficulty at laryngoscopy or intubation, if inability to maintain a patient airway occurs, exposes the patient to the risk of complications basically related to hypoxia. Its incidence has been reported around 1-4% of patients with normal airway and, more recently, in a range of 1.5-8.5% of all general anesthesia [2,3]. Management of unanticipated difficult airways has been standardized in various algorithms, with an increasing need in updating related to development of novel devices [4].
The Macintosh laryngoscope remains the most commonly used laryngoscope for tracheal intubation in routine surgical patients [5]. Despite its popularity, failure during intubation is not uncommon, especially in patients with unanticipated difficulty [3].
According to the evidence that direct laryngoscopy occasionally offers a poor view of glottis structures, different devices have been introduced in order to reduce the incidence of complications [5,6]. Out of them, the Truview EVO2® laryngoscope (Truphatek International Ltd, Netanya, Israel, 2004) facilitates an indirect view of the vocal cords via an optic port placed on a modified Macintosh blade.
The present study retrospectively evaluates the role of Truview laryngoscope in the management of unexpected difficult tracheal intubation in patients undergoing general anesthesia for elective surgery in a high specialty Center.
Materials and Methods
We retrospectively analysed the management of unexpected difficult tracheal intubation in the entire surgical population between June 2011 and January 2015. During these 44 months period, a total of 24.500 non-obstetric adult (> 18 years old) patients underwent general anesthesia and endotracheal intubation for elective surgery.
Patients with pharyngo-laryngeal or neck tumors, maxillofacial or cervical spine injury were excluded.
Given the retrospective observational nature of the study, the specific written informed consent was not obtained.
Preoperative airway assessment was routinely evaluated by El-Ganzouri Risk Index (EGRI) consisting in: mouth opening (> or < 4 cm); thyro-mental distance (> 6.5 cm, 6-6.5 cm, < 6 cm); Mallampati class (I, II, III); neck movement (> 90°, 80°-90°, < 80°); ability to protrude the jaw (yes or no); body weight (< 90 kg, 90-110 kg, > 110 kg); history of difficult intubation (none, questionable or definite) [7]. The unmodified Mallampati class has been used (class I when soft palate, fauces, uvula, and pillars could be visualized; class II when soft palate, faucial pillars and base of the uvula could be visualized; class III when only soft palate could be visualized).
Cormack-Lehane (CL) score refers to direct laryngoscopy: grade I indicates a full view of the glottis, grade II a partial view of the glottis with anterior commissure not seen, grade III when only the epiglottis is seen, and grade IV when glottis nor epiglottis are seen.
After preoxygenation, a common anesthesia induction protocol was followed in all patients: Propofol 1.5-2 mg/kg, Fentanyl 1.5-2 mcg/kg, Rocuronium 0.6 mg/kg or Cisatracurium 0.2 mg/kg. Standard equipment is specified as Macintosh laryngoscope (blade sizes 3 and 4) and simple endotracheal tube. At first, all patients were attempted for tracheal intubation by direct laryngoscopy, thus, in case of any difficulty, CL grade, number of attempts, device(s) used, and complications were recorded in a dedicated database.
When first intubation attempt was unsuccessful, the Anesthesiologist was free to choose a device among those available (Truview laryngoscope, McCoy blade, Frova catheter, laryngeal mask, fiberoptic bronchoscope, and Macintosh blade).
A difficult tracheal intubation (DTI) was defined as requirement of more than one attempt due to CL grade III or IV. Truview EVO2® (TW) laryngoscope (Figure 1) offers an indirect unmagnified view of the superior airways by means of an optic side port located laterally on a Macintosh modified blade. The optical apparatus provides a 42° angled deflection view through a 15 mm eyepiece, particularly useful in case of an anteriorly placed larynx and of patients with limited neck extension [8,9]. Opposite to the optic port, the TW is equipped with an auxiliary oxygen port that can be connected to an oxygen source (8-10 litres per minute), preventing misting, cleaning the distal lens from secretions, and providing a continuous oxygen flow during intubation9.Intubation by TW implies visualization of upper airway structures and the orotracheal tube through the optic apparatus, with oropharyngeal and laryngeal axes not aligned, so the tube has to be advanced blindly until its tip enters the optic visual field and modelled by a style in order to be directed through the vocal cords [5,10].
Statistical Analysis
Continuous variables are expressed as means ± standard deviation or median and range, as appropriate. Non-continuous variables are expressed as the number of occurrences and percentage. For univariate analysis, the two-tail student's t test was employed for continuous variables, and Fisher's exact test for non-continuous variables. Correlation analysis was performed by computing the Pearson coefficient (r). The correlation was considered weak when r < 0.4, moderate when r = 0.4-0.59, strong when r = 0.6-0.79 and very strong when r > 0.8. Statistical significance was defined as P < 0.05. For statistical analysis we employed the SPSS Statistics software (version 20; SPSS Inc, Chicago, Illinois, USA).
Results
All patients' tracheal intubation was first performed by direct laryngoscopy. DTI was observed in 0.4% (90 patients). Characteristics of the sample of patients with DTI are reported in table 2. The CL grade was 3 (range 2 ÷ 4) and number of attempts was 2 (range 1 ÷ 3).
Table 2: Characteristics of patients with difficult tracheal intubation (No. 98)
View Table 2
In 9 subjects (10%), face-mask resulted ineffective to hand-ventilation during the intubation manoeuvres: after the failure of the second attempt of traditional intubation by direct laryngoscopy, we opted for Laryngeal Mask insertion which resulted resolutive of the unexpected event.
When first direct laryngoscopy failed (n = 90), TW laryngoscope was utilized in 59 patients (65.5%) and succeeded in achieving intubation in 44 cases (75%); the other 15 cases were successfully managed by Laryngeal mask.
The success rate for additional direct laryngoscopy was 9 cases (42.8%). The remaining 12 patients were managed by Laryngeal mask (9 subjects) or awakened in 3 cases (3.1%). Two of them received fiberoptic intubation so they underwent surgery they were scheduled for. Only in one case, it failed and the operation had been postponed. Finally, for 10 patients we used a different device, the McCoy laryngoscope (10 cases). Frova catheter was successfully used as adjuvant device (it was necessary with McCoy laryngoscope in 6 cases and TW laryngoscope in 2 cases) as only a portion of the inter-arytenoid space resulted visible (Figure 2).
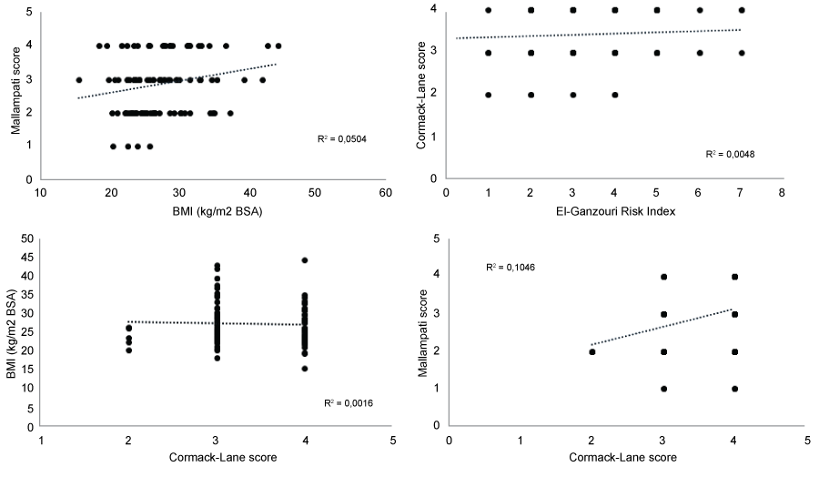
In four patients (4.1%) dental injuries were reported using Macintosh laryngoscope during the first intubation attempt. Preoperative airway parameters were correlated both with intubation difficulty and one to each other (Figure 3). Preoperative evaluation of body mass index (BMI) and Mallampati class showed a weak correlation (r = 0.224). Similar results were found when compared EGRI and CL scores (r = 0.069), BMI and CL scores (r = 0.040), Mallampati class and CL scores (r = 0.323).
In this sample, Mallampati class was 3 (range 2 ÷ 4). No patient had a Mallampati 1 at preoperative evaluation. Preoperative EGRI mean value was3 (range 0 ÷ 7). After anesthesia induction two patients had EGRI 0 but CL grade 4, four patients had EGRI 1 and CL score 3 (n = 3) and 4 (n = 1). Thus, among the 66 patients with EGRI < 4, in 6 patients (9.1%) such low EGRI score did not correspond to smooth tracheal intubation (Table 3).
Table 3: El-GanzouriRisk Index and Cormack-Lehane score
View Table 3
Finally, regarding the operators' experience in our Unit, Anesthesiologists with < 5 years practice were 25.5%.
Discussion
The main result of our analysis was the high success rate of the Truview laryngoscope in solving the problem of unexpected DTI.
According to the results of Conelly et al. [11], we reported a lower incidence of DTI in comparison with other published data. We speculate that it may depends on three factors: 1) not all the Anesthesiologists of our Unit did include their own experience cases into the database; 2) given our Hospital is a high admission Center, we assume that operators are experts in managing airways; 3) according to the retrospective nature of the study, the incidence of DTI might be underestimated.
Literature suggests that tracheal intubation in patients with normal airways (defined as CL grade I or II) can be easily performed by direct laryngoscopy, while indirect view of the glottis (performed by optic devices such as video-laryngoscope or TW) becomes useful and frequently resolutive in case of difficult airways [12].
Improvement in laryngeal exposure allowed by TW (defined as improvement at least in 1 grade at CL scale) when compared with Macintosh laryngoscope has been demonstrated in elective surgery population both at low and high risk for difficult intubation [8-10,13-15]. Moreover, it has been shown to reduce the Intubation Difficulty Score (IDS), enhance glottic view, and reduce the number of optimization manoeuvres in a population of patients with cervical spine immobilization with no further risk factor for difficult intubation. Mostly all of these studies reported that Truview laryngoscope required a longer time of intubation suggesting its poor utility in case of rapid sequence intubation [9,10,16]. Taking a step forward, Li et al. [10] interestingly observed that there was an increase in the time of intubation with increasing CL grade in the Macintosh group but not in the Truview group, suggesting that time required to perform tracheal intubation by Truview was more influenced by its manoeuvrability.
In our experience, TW laryngoscope represented a valid alternative choice in case of unexpected difficult airway, as it succeeded in 75% of cases. Laryngeal mask always solved the management of unexpected difficult intubation, but such a device does not protect the airways completely like the tracheal tube does, as it separates the trachea from the oesophagus.
We did not measure the time of intubation, but we assume that almost absolute lack of complications could be an indirect sign of safety of the device. Moreover, even younger Anesthesiologists, representing the 25% of our Unit staff, succeeded in Truview management, with a relatively short period of training. In our Institution we train Residents and younger Anesthesiologists to use TW in patients with predicted easy tracheal intubation in order to make them able to use it in DTI subjects.
Among predictive factors of difficult intubation, we basically focused on Mallampati class and BMI, as the most standardized markers. Evidences that single variables represent weak and inconclusive predictors of difficult intubation led to observation that multiparametric models showed a higher sensitivity [3-7,17-21].
Contrasting data reporting usefulness of Mallampati class as an independent predictive factor have been published. Despite Yildiz et al. [22] observed that, among all the risk factors analyzed, mouth opening and Mallampati III-IV were found to be significantly sensitive criteria when used alone, a recent meta-analysis demonstrated that modified Mallampati class (that adds a class IV if soft palate is not visible at all) is a poor predictor of difficult laryngoscopy if stand-alone [1,22]. According to such results, in the present study we observed a weak correlation between Mallampati class and CL grade. Notalbly, no Mallampati class < 2 has been reported in this DTI patients' sample.
BMI is used to assess normal weight, overweight, and obese patients. A range of 18.5 ÷ 25 kg/m2 is normal, of 25 ÷ 30 indicates overweight, and above 30 kg/m2 defines obesity [23]. Obesity has been previously reported as a risk factor for difficult intubation in both obstetric and non-obstetric settings requiring attentions mostly concerning preoxygenation and patient's positioning at induction [24]. Lavi et al. [25] observed that IDS scores were higher among obese than non-obese patients and that Mallampati class III-IV was found to predict difficult intubation in obese patients. Once again in contrast with previous data, Danish database revealed that BMI could not itself identify patients at risk for difficult airway [18,26]. Accordingly, in our study we found that BMI was poorly correlated to CL grade.
El-Ganzouri Risk Index has been proposed as predictive score for difficult tracheal intubation. Original paper defined a score ≥ 4 as highly sensitive when direct laryngoscopy is performed, while a score of 7 has been subsequently proposed in case of indirect laryngoscopy [7,27]. Our results showed that EGRI < 4 did not correspond to easy intubation in six patients. Despite this result did not reach the statistical significance, we consider it as a hard issue, if taking into account the serious consequences potentially following a failed tracheal intubation.
Our study has several limitations. First, given its retrospective nature, incidence of difficult intubation could be underestimated. Second, total time of tracheal intubation with different devices was not measured. Moreover, lack of unexpected difficult airway management algorithm allowed single Aneshesiologist to decide which device could be used alternatively or in addition to Macintosh laryngoscope. Large sample size might be helpful in minimizing the first problem reported.
In conclusion, our Unit experience revealed that Truview EVO2® laryngoscope could represent a safe, cost-saving, short-term practical training device in case of unexpected DTI, so that it could be eventually introduced in routine difficult airway management.
In our opinion, given such inconclusive evidences of published data concerning independent risk factors and DTI risk scores, including our own experience, the main issue is that, whatever's the value of the score considered, if several intubating tools are available and Anesthesiologist is sufficiently skilled to handle alternative ones, predictive DTI scores may lose their helpfulness. Beyond Macintosh laryngoscope's recognized limits, few often available devices (i.e. Truview, Frova catheter and fiberoptic bronchoscope) may solve mostly all problems related to difficult airways, possibly overcoming a contrasting predictive score.
Conflict of Interest
Authors declare they have no conflict of interest and they did not receive any funding for the study reported in the present paper.
References
-
Lundstrøm LH, Vester-Andersen M, Møller AM, Charuluxananan S, L'hermite J. (2011) Poor prognostic value of the modified Mallampati score: a meta-analysis involving 177 088 patients. British Journal of Anaesthesia 107: 659-667.
-
Benumof JL (1991) Management of the difficult adult airway. With special emphasis on awake tracheal intubation. Anesthesiology 75: 1087-1110.
-
Shiga T, Wajima Z, Inoue T, Sakamoto A (2005) Predicting difficult intubation in apparently normal patients: a meta-analysis of bedside screening test performance. Anesthesiology 103: 429-437.
-
Law JA, Broemling N, Cooper RM, Drolet P, Duggan LV, et al. (2013) The difficult airway with recommendations for management-Part1-Difficult tracheal intubation encountered? in an unconscious/induced patient. Can J Anaesth 60: 1089-1118.
-
Saxena A, Madan M, Shrivastava U, Mittal A, Dwivedi Y, et al. (2013) Role of the Truview EVO2 laryngoscope in the airway management of elective surgical patients: A comparison with the Macintosh laryngoscope. Indian J Anaesth 57: 276-281.
-
Rai E, Ramamani, Jacob R (2009) Truview EVO2 Laryngoscope. J Anaesth Clin Pharmacol 25: 199-202.
-
El-Ganzouri AR, McCarthy RJ, Tuman KJ, Tanck EN, Ivankovich AD (1996) Preoperative airway assessment: predictive value of a multivariate risk index. Anesth Analg 82: 1197-1204.
-
Barak M, Philipchuck P, Abecassis P, Katz Y (2007) A comparison of the Truview blade with the Macintosh blade in adult patients. Anaesthesia 62: 827-831.
-
Seema Darshane, Mohiidin Ali, Sethuraman Dhandapani, Peter Charters. (2011) Validation of a model of graded difficulty in Laerdal SimMan: functional comparisons between Macintosh, Truview EVO2, Glidescope Video Laryngoscope and Airtraq. Eur J Anaesthesiol 28: 175-180.
-
Li JB, Xiong YC, Wang XL, Fan XH, Li Y, et al. (2007) An evaluation of the TruView EVO2 laryngoscope. Anaesthesia 62: 940-943.
-
Connelly NR, Ghandour K, Robbins L, Dunn S, Gibson C (2006) Management of unexpected difficult airway at a teaching institution over a 7-year period. J Clin Anesth 18: 198-204.
-
Behringer EC, Kristensen MS (2011) Evidence for benefit vs novelty in new intubation equipment. Anaesthesia 66 Suppl 2: 57-64.
-
Leung YY, Hung CT, Tan ST (2006) Evaluation of the new Viewmax laryngoscope in a simulated difficult airway. Acta Anaesthesiol Scand 50: 562-567.
-
Matsumoto S, Asai T, Shingu K (2007) [TruViewEVO2 videolaryngoscope]. Masui 56: 213-217.
-
Singh I, Khaund A, Gupta A (2009) Evaluation of Truview EVO2 Laryngoscope In Anticipated Difficult Intubation - A Comparison To Macintosh Laryngoscope. Indian J Anaesth 53: 164-168.
-
Malik MA, Maharaj CH, Harte BH, Laffey JG (2008) Comparison of Macintosh, Truview EVO2, Glidescope, and Airwayscope laryngoscope use in patients with cervical spine immobilization. Br J Anaesth 101: 723-730.
-
Yentis SM (2002) Predicting difficult intubation--worthwhile exercise or pointless ritual? Anaesthesia 57: 105-109.
-
Lundstrøm LH, Møller AM, Rosenstock C, Astrup G, Wetterslev J (2009) High body mass index is a weak predictor for difficult and failed tracheal intubation: a cohort study of 91,332 consecutive patients scheduled for direct laryngoscopy registered in the Danish Anesthesia Database. Anesthesiology 110: 266-274.
-
Wilson ME, Spiegelhalter D, Robertson JA, Lesser P (1988) Predicting difficult intubation. Br J Anaesth 61: 211-216.
-
Arné J, Descoins P, Fusciardi J, Ingrand P, Ferrier B, et al. (1998) Preoperative assessment for difficult intubation in general and ENT surgery: predictive value of a clinical multivariate risk index. Br J Anaesth 80: 140-146.
-
Naguib M, Scamman FL, O'Sullivan C, Aker J, Ross AF, et al. (2006) Predictive performance of three multivariate difficult tracheal intubation models: A double-blind, case-controlled study. Anesth Analg 102: 818-824.
-
Yildiz TS, Korkmaz F, Solak M, Toker K, Erciyes N, et al. (2007) Prediction of difficult tracheal intubation in Turkish patients: a multi-center methodological study. Eur J Anaesthesiol 24: 1034-1040.
-
Ogden CL, Carroll MD, Curtin LR, McDowell MA, Tabak CJ, et al. (2006) Prevalence of overweight and obesity in the United States, 1999-2004. JAMA 295: 1549-1555.
-
Rocke DA, Murray WB, Rout CC, Gouws E (1992) Relative risk analysis of factors associated with difficult intubation in obstetric anesthesia. Anesthesiology 77: 67-73.
-
Lavi R, Segal D, Ziser A (2009) Predicting difficult airways using the intubation difficulty scale: a study comparing obese and non-obese patients. J Clin Anesth 21: 264-267.
-
Lundstrøm LH (2012) Detection of risk factors for difficult tracheal intubation. Dan Med J 59: B4431.
-
Caldiroli D, Cortellazzi P (2011) A new difficult airway management algorithm based upon the El Ganzouri Risk Index and GlideScope® videolaryngoscope: a new look for intubation? Minerva Anestesiol 77: 1011-1017.
-
Rose DK, Cohen MM (1994) The airway: problems and predictions in 18,500 patients. Can J Anaesth 41: 372-383.
-
Rose DK, Cohen MM (1996) The incidence of airway problems depends on the definition used. Can J Anaesth 43: 30-34.
-
Adnet F, Racine SX, Borron SW, Clemessy JL, Fournier JL, et al. (2001) A survey of tracheal intubation difficulty in the operating room: a prospective observational study. Acta Anaesthesiol Scand 45: 327-332.
-
Iohom G, Ronayne M, Cunningham AJ (2003) Prediction of difficult tracheal intubation. Eur J Anaesthesiol 20: 31-36.
-
Gupta S, Pareek S, Dulara SC (2003) Comparison of two methods for predicting difficult intubation in obstetric patients. Middle East J Anaesthesiol 17: 275-285.
-
Ezri T, Medalion B, Weisenberg M, Szmuk P, Warters RD, et al. (2003) Increased body mass index per se is not a predictor of difficult laryngoscopy. Can J Anaesth 50: 179-183.
-
Combes X, Le Roux B, Suen P, Dumerat M, Motamed C, et al. (2004) Unanticipated difficult airway in anesthetized patients: prospective validation of a management algorithm. Anesthesiology 100: 1146-1150.
-
Cattano D, Panicucci E, Paolicchi A, Forfori F, Giunta F, et al. (2004) Risk factors assessment of the difficult airway: an italian survey of 1956 patients. Anesth Analg 99: 1774-1779, table of contents.
-
Tse JC, Rimm EB, Hussain A (1995) Predicting difficult endotracheal intubation in surgical patients scheduled for general anesthesia: a prospective blind study. Anesth Analg 81: 254-258.
-
Aftab S, Raja D, Rashdi S, Khalid A (2008) Preoperative assessment of risk factors for difficult intubation. Pakistan Journal od Surgery 24:1.
-
McDonnell NJ, Paech MJ, Clavisi OM (2008) Difficult and failed intubation in obstetric anaesthesia: an observational study of airway management and complications associated with general anaesthesia for caesarean section. Int J Obstet Anesth 17: 292-297.
-
L'Hermite J, Nouvellon E, Cuvillon P, Fabbro-Peray P, Langeron O, et al. (2009) The Simplified Predictive Intubation Difficulty Score: a new weighted score for difficult airway assessment. Eur J Anaesthesiol 26: 1003-1009.
-
Kalezic N, Milosavljevic R, Paunovic I, Zivaljevic V, Diklic A, et al. (2009) The incidence of difficult intubation in 2000 patients undergoing thyroid surgery--a single center expirience. Vojnosanit Pregl 66: 377-382.
-
Tao W, Edwards JT, Tu F, Xie Y, Sharma SK (2012) Incidence of unanticipated difficult airway in obstetric patients in a teaching institution. J Anesth.


