RESEARCH ARTICLE | VOLUME 5, ISSUE 1 | OPEN ACCESS DOI: 10.23937/2469-567X/1510039

Prevalence of Haematological and Serum Biochemical Abnormalities in HIV Infected Patients in Ghana, Before and after Antiretroviral Therapy

Samuel Kwadwo Afari1,2* and Emmanuel Awusah Blay3

1Department of Clinical Microbiology, Kwame Nkrumah University of Science and Technology, Ghana

2Laboratory Department, Microbiology Unit, International Maritime Hospital, Ghana Ports and Harbors Authority, Ghana

3Department of Parasitology, Noguchi Memorial Institute for Medical Research, College of Health Sciences, University of Ghana, Ghana

*Corresponding author: Samuel Kwadwo Afari, Department of Clinical Microbiology, Kwame Nkrumah University of Science and Technology; Laboratory Department, Microbiology Unit, International Maritime Hospital, Ghana Ports and Harbors Authority, P.O. Box Co 4297, Tema, Ghana.
Emmanuel Awusah Blay, PhD, Department of Parasitology, Noguchi Memorial Institute for Medical Research, College of Health Sciences, University of Ghana, P. O. Box LG581 Legon, Accra, Ghana.

Accepted: June 09, 2018 | Published: June 11, 2018

Citation: Afari SK, Blay EA (2018) Prevalence of Haematological and Serum Biochemical Abnormalities in HIV Infected Patients in Ghana, Before and after Antiretroviral Therapy. Int J Virol AIDS 5:039. doi.org/10.23937/2469-567X/1510039

Copyright: © 2018 Afari SK, et al. This is an open-access article distributed under the terms of the Creative Commons Attribution License, which permits unrestricted use, distribution, and reproduction in any medium, provided the original author and source are credited.

Abstract


Background

Highly Active Antiretroviral Therapy (HAART) has led to prolonged survival of HIV-infected patients. However, the long-term use of HAART has the potential to cause haematological and biochemical abnormalities such as cytopenia, liver damage and renal injuries, which may be life threatening. Such HAART-related metabolic syndromes lead to the discontinuation of HAART in patients on therapy. Therefore, this study sought to determine the prevalence of haematological and serum biochemical abnormalities in HIV infected HAART naïve and 6 months after they have been exposed to regular HAART use.

Methods

In a cross-sectional study, 200 HIV seropositive individuals were voluntarily recruited into the study. All participants recruited were HAART naïve and blood samples were taken before they were administered with drug combinations of ART. The viral load and haematological and biochemical parameters were measured and assessed using serum and plasma where appropriate. Questionnaire interviews were conducted to obtain personal information and socio-demographic characteristics. Six months after initial recruitment, the study participants were followed up and blood samples were taken to asses same parameters.

Results

Average viral load significantly reduced from 1.379 ± 4.05 × 104 log10 copies/ml to 2.03 ± 22.86 × 103 log10 copies/ml (p- < 0.0001) from HAART naïve to HAART exposed. There was significant change in the levels of alanine transaminase and alkaline phosphatase, two key serum indicators of hepatocellular injury and cholestasis after HAART exposure. Total protein and albumin levels were found to have elevated significantly after HAART (p < 0.001). Cytopenias such as anaemia, leucopoenia, lymphopenia and thrombocytopenia recorded significant decrease after HAART exposure. Two key biomarkers for diagnosing renal disorders i.e. serum urea and serum creatinine were also significantly elevated after HAART (p value < 0.001).

Conclusion

Results from this study provides additional information to healthcare providers to regularly monitor haematological and biochemical indicators of HIV patients on HAART detect and prevent toxicity early enough to improve on the quality of life and reduce the risk of mortality.

Keywords


Antiretroviral therapy, Hematological abnormalities, HIV, Cytopenia

Abbreviations


ALB: Albumin; ALP: Alkaline Phosphatase (ALP); ALT: Alanine Transaminase; ART: Antiretroviral Therapy; AST: Aspartate Transaminase; HAART: Highly Active Antiretroviral Therapy; HIV: Human Immunodeficiency Virus

Background


An estimated 36.7 million (30.8 million - 42.9 million) people worldwide are living with Human Immunodeficiency Virus (HIV) with 1.8 million new infections [1]. In Sub-Saharan Africa, more than 23.5 million people were living with HIV [2]. Current records show that 20.9 million (18.4 million - 21.7 million) people living with HIV are accessing antiretroviral therapy (ART) [3], which is the current effective management of HIV [4]. Modern drug discovery has thus transformed HIV into a manageable chronic infectious disease [5].

In ART-experience and naive HIV patients, diverse types of immunological, biochemical and haematological disorders are common. Common haematological disorders associated with ART include anaemia, leukocytopenia, neutropenia, thrombocytopenia and depletion of the CD4 cells [6]. Changes in biochemical indicators such as bilirubin, electrolytes, creatinine, blood urea, Albumin (ALB), Aspartate transaminase (AST), Alanine transaminase (ALT) and Alkaline Phosphatase (ALP) are common disorders resulting from HIV infection and ART use can have adverse impact on these disorders [7].

The advent of drug expansion programmes by pharmaceutical companies, research institutions and state agencies, has led to the production of various antiretroviral drugs known as Highly Active Antiretroviral Therapy (HAART) currently used in the treatment of HIV infection [8]. The initiation of HAART, normally made up of a blend of two or more antiretroviral drugs has come to advance the quality of life of persons living with HIV and has led to a decline in the progression of HIV infection to AIDS [9].

Despite the success, administration of the HAART comes with adverse side effects, which include, but are not limited to, diarrhea, nausea, anaemia, neutropenia, increase in bilirubin, elevation of amylase enzyme and cytopoenia [10]. There is high risk of patients developing short and long-term complications such as renal disorders, hepatotoxicity and cardiovascular abnormalities [11].

In Ghana, HAART remains the best course of action in the management of HIV cases [12], nevertheless, HAART related abnormalities complicate management and increase the cost of health care [13]. These adverse effects during HAART sometimes causes the change or suspension of therapy and accounts for therapy non-adherence by patients [14]. Consequently, the side effects of HAART are now of public health concern and immense importance to health policy makers in Ghana. Therefore, this study sought to determine the prevalence of haematological and serum biochemical abnormalities that may be associated with the administration of HAART in HIV infected patients and their virological responses before and after HAART.

Methods


Study design

A follow-up cross-sectional study was conducted at Effia Nkwanta Regional Hospital HIV/AIDS unit in the Western region of Ghana. Persons who tested positive for HIV (HIV1 or HIV2) at the unit, naïve to HAART, and gave their consent after explanation of the study were duly recruited and registered. At baseline, (HAART-naïve) participants were required to give blood samples. Participants were also interviewed for their ages and other basic demographic parameters. Six (6) months later (HAART-experienced), participants were followed-up and blood samples were taken to check for same parameters as in baseline. Emphasis was placed on the fact that participation was voluntary and there was the liberty of withdrawing from the study at any time without further obligation.

Study site and study participants

The HIV/AIDS unit, at the Effia Nkwanta Regional Hospital, Sekondi, Ghana, served as the recruitment site for study participants. Two hundred (200) HIV seropositive who were ART naïve gave their consent to be involved in this study.

Inclusion and exclusion criteria

All naïve ART HIV-seropositive patients aged 13 years or older at ART starting date, with documented sex, date of birth, date of ART initiation and no previous history of enrolling in ART clinical studies were eligible. Participants were also required to give a signed consent after the study had been explained to them in a language of their understanding. Persons with recent blood transfusion and pregnant women were excluded from the research study.

Blood collection

From the cubital veins of participants, approximately 5 ml of blood was drawn using a sterile butterfly hypodermic syringe and needles into a labelled blood EDTA tubes and inverted severally to prevent coagulation. Plasma was obtained from each blood sample by centrifugation at 14,000 rpm for 10 minutes and stored at -40 ℃ until use. Extracted plasma was used for haematological and viral load analysis.

An additional 4 ml of blood drawn from the participants was dispensed into a Vacuum tube serum separator gel. Samples were transferred immediately to the laboratory and serum was stored at -80 ℃ until analyzed for biochemical parameters.

Viral load determination

The viral load of the HIV-1 infected patients was determined using an automated COBAS AmpliPrep/COBAS TaqMan HIV-1 Qual Test (Roche Molecular System, Inc., Branchburg, NJ, USA). The fully automated COBAS AmpliPrep/COBAS TaqMan HIV-1 Qual Test is a qualitative nucleic acid amplification test used for the detection of Human Immunodeficiency Virus Type 1 (HIV-1) RNA and proviral DNA in plasma, anticoagulated fresh whole blood and dried blood spots. Viral load was determined as described in the respective package inserts and strictly according to manufacturer's instructions using 50 µl of plasma per participant.

Briefly, this test is in two (2) stages i.e. Sample processing and then amplification and detection. The COBAS AmpliPrep/COBAS TaqMan HIV-1 Qual Test allow automated sample preparation followed by automated reverse transcriptase, PCR amplification and detection of HIV-1 target RNA or proviral DNA and HIV-1 internal Control (IC) Armored RNA. The Master Mix reagent contains primers and probes specific for either HIV-1 target RNA or proviral DNA and HIV-1 internal control RNA. The detection of amplified DNA is performed using target-specific and internal control - specific dual-labelled oligonucleotide probes that permit independent identification of HIV-1 target amplicon and HIV-1 internal control amplicon. Precautions were taken to avoid contamination and controls were included in each PCR run.

Determination of haematological parameters

Haematological parameters made up of total white blood cells count (WBC), Red blood cells count (RBC), Hemoglobin (Hb), Platelet count (PLT) and absolute white blood cell were determined from plasma samples using Automated Sysmex XS-1000i/XS-500i haematology analyzer. The Sysmex XS-1000i/XS-500i (Sysmex Corporation, Kobe, Japan) is a new fully automated haematology analyzer intended for in vitro diagnostic usage. The Sysmex XS-1000i and XS- 500i can analyze and output the results of 24 (for Europe), or 21 (for Americas) parameters of a blood sample. The XS-1000i and XS- 500i uses fluorescence flow cytometry with a laser semiconductor to determine leucocyte differential and hydrodynamic focusing with impedance for RBC and platelet counting. Hemoglobin is determined using the sodium lauryl sulphate methaemoglobin method.

Determination of biochemical parameters

Biochemical parameters such as Albumin (ALB), Aspartate transaminase (AST), Alanine transaminase (ALT), Alkaline Phosphatase (ALP), Creatinine (CRbi), total Protein (PRTB) and Urea (URSL) levels were determined from serum samples using an Automated Selectra Pro S chemistry analyzer (Puteaux, France and reagents supplied by ELI Tech group, Rotterdam, Netherlands). The Selectra ProS is an automated chemistry analyser, used in combination with reagents for in vitro diagnostic measurement of analytes in samples of serum, plasma, urine and aqueous standard solutions. The analyzer relies on spectrophotometric system for measurement of analytes using spectrophotometric techniques, such as end-point, rate and turbidometric assays.

Data analysis

Data for haematological and biochemical assays were entered into Microsoft excel database, checked and corrected for data entry errors. Data was analyzed using SPSS version 22 (SPSS Inc., USA). Paired sample t-test and one-way ANOVA (Eta Square (n2)) were used for the statistical analysis.

Results


Characteristics of participants

Table 1 shows the characteristics of 200 participants recruited for this study, which comprised of 78% (156/200) females and 22% (44/200) males. HIV-1 infection was the most prevalent at 95.5% (191/200) with 4.5% (9/200) infected with HIV-2. The mean age of the participants in the study was 41.36 ± 11.36 years (range: 20-70 years); 30% were between the ages of 30-39 years representing the most infected age bracket. Majority of the participants 83.5% had received some sort of education and most of the study respondents were classified as coming from a low economic background with low income.

Table 1: General characteristics of study participants. View Table 1

Viral load of HIV patients before and after HAART treatment

The average viral load significantly reduced from 1.379 ± 4.05 × 104 log10 copies/ml to 2.03 ± 22.86 × 103 log10 copies/ml (p- < 0.0001) after treatment. In males, the average viral load pre-HAART treatment was 17.64 ± 3.65 × 103 log10 copies/ml which reduced significantly to 2.64 ± 24.17 × 103 log10 copies/ml after-HAART treatment (p < 0.001). In females, the average viral load pre-HAART treatment was 12.85 ± 4.16 × 103 log10 copies/ml, which significantly reduced to 1.89 ± 22.73 × 103 log10 copies/ml after-HAART.

HAART treatment regimens and the effect on viral load

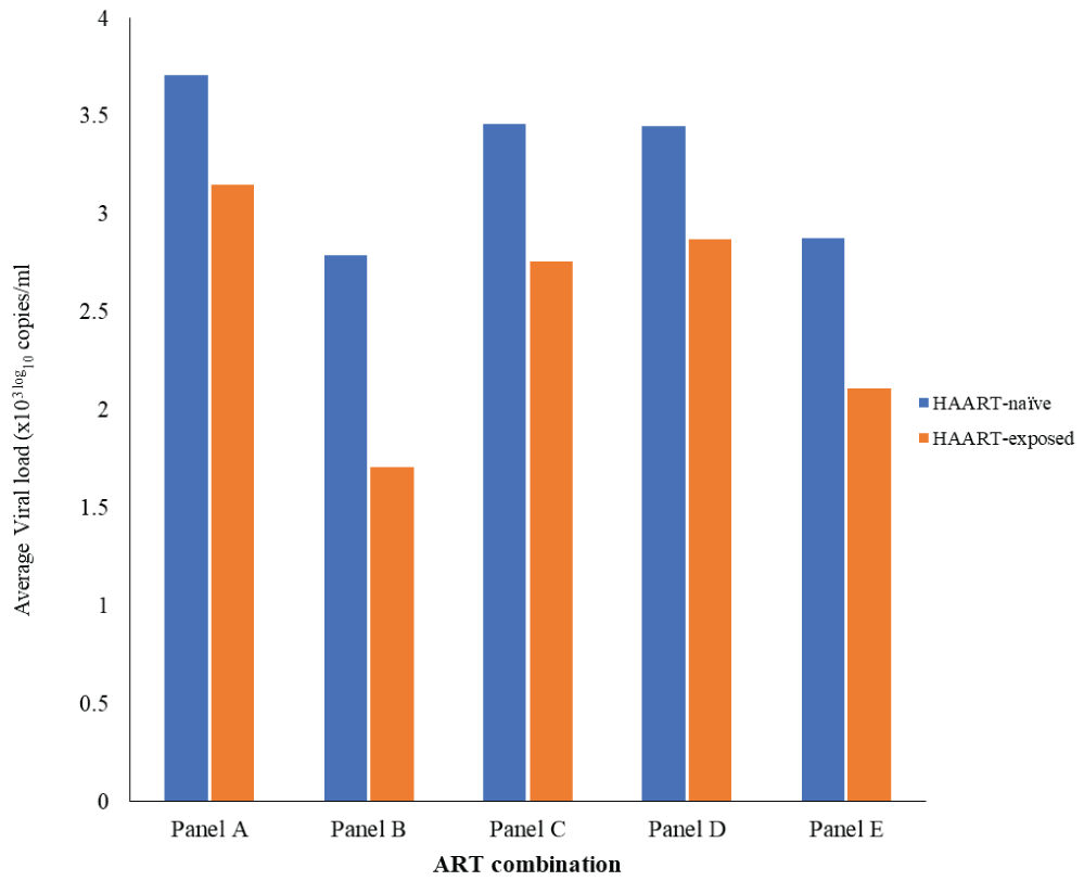
Five different ART combinations were administered to the participants. These are Panel A comprising of Lamivudine + Zidovudine + Efavirenz. Panel B consisted of Emtricitabine + Tenofovir + Efavirenz. Panel C was Lamivudine + Zidovudine + Nevirapine. Panel D consisted of Lamivudine + Efavirenz + Tenofovir and Panel E comprised of Emtricitabine + Tenofovir + Nevirapine. The number of patients who received each treatment regime is presented in Figure 1. The viral load of participants who received each treatment regimen is presented in Figure 2. In total, there was a marked reduction in the viral load of all participants for all the treatment regimens.

Figure 1: Number of patients who received HAART regimens and the type of HIV infections.
Panel A (Lamivudine/Zidovudine/Efavirenz);
Panel B (Emtricitabine/Tenofovir/Efavirenz);
Panel C (Lamivudine/Zidovudine/Nevirapine);
Panel D (Lamivudine/Efavirenz/Tenofovir);
Panel E (Emtricitabine/Tenofovir/Nevirapine).
View Figure 1

Figure 2: Viral load of HIV seropositive participants at ART-naïve and after 6 months ART-exposure.
Panel A (Lamivudine/Zidovudine/Efavirenz);
Panel B (Emtricitabine/Tenofovir/Efavirenz);
Panel C (Lamivudine/Zidovudine/Nevirapine);
Panel D (Lamivudine/Efavirenz/Tenofovir); Panel E (Emtricitabine/Tenofovir/Nevirapine).
View Figure 2

Prevalence of haematological abnormalities among HIV patients before and after HAART treatment

To determine the effect of HAART therapy and possible abnormalities in haematological parameters, six (6) indices were evaluated in this study. This included RBC count (× 106 cell/µl); Hb (g/dl), WBC count (× 109 cell/L) Neutrophil count (× 109 cell/L), Lymphocytes count (× 109 cell/L) and PLT count (× 109 cell/L). Results obtained are presented in Table 2, showed a significant increase in RBC and Hb level after- HAART (p < 0.001). Additionally, there was a significant reduction in lymphocytes count in after- HAART (p < 0.001). Total WBC count, Neutrophils count, and Platelets count did not see any statistically significant changes pre and after-HAART.

Table 2: Haematological and Biochemical indices of HIV seropositive participants before and after HAART exposure. View Table 2

Prevalence of serum biochemical abnormalities among HIV patients pre and after HAART treatment

To determine the effect of HAART and possible abnormalities in biochemical parameters, seven (7) indices were evaluated in this study. Total protein, Albumin levels, Aspartate transaminase (AST), Alanine transaminase (ALT), Alkaline Phosphatase (ALP), Urea and Creatinine were measured pre and after-HAART. Results as presented in Table 1, show that Total Protein and Albumin levels were found to have elevated significantly after HAART (p < 0.001). Additionally, Alanine transaminase (ALT) which is a key surrogate biomarker for diagnosing cellular hepatoxicity recorded significant elevated levels (p < 0.001) after-HAART treatment in the serum. Alkaline phosphatase (ALP) which is a key surrogate index for diagnosing cholestasis was also significantly increased after-HAART. Thus, two key liver enzymes, i.e. ALT and ALP, important for diagnosing drug induced liver toxicity showed elevated levels after HAART. Serum urea and serum creatinine biomarkers used for diagnosing renal disorders were also significantly elevated after treatment.

The prevalence of cytopenias of HIV patients before and after HAART treatment

The haematological biomarkers evaluated in this study was used to measure the prevalence of cytopenias such as, anaemia, leucopoenia, neutropenia, lymphopenia and thrombocytopenia. The reference range used for the various cytopenias were according to the World Health Organization (WHO) classifications [15]. Table 3, shows the prevalence of cytopenias pre and after HAART. Total prevalence of anemia showed a decrease from 90% (180/200) to 53% (106/200) after-HAART. Leucopenia showed a decrease from 13% (26/200) prevalence to 6.5% (13/200) prevalence after-HAART and lymphopenia and thrombocytopenia recorded a decrease in prevalence from 39% (78/200) to 18% (36/200) and 22.5% (45/200) to 18.5% (37/200) respectively. Neutropenia, however, showed an increase in prevalence from 72.5% (145/200) to 85% (170/200).

Table 3: Prevalence of haematological abnormalities in HIV seropositive patients, before and after HAART exposure (N = 200). View Table 3

Chronic kidney disease prevalence among HIV seropositive pre and after HAART treatment

The serum creatinine levels were used to determine the glomerular filtration rate (GFR), which is an index of measuring kidney function [16]. GFR measurement was done to determine the degree of kidney dysfunction as a result of HIV infection and/or HAART medications. GFR estimation was based on two equations currently accepted worldwide. The first was an equation developed from the Modification of Diet in Renal Disease (MDRD) study [17]. This is a four-variable MDRD formula based on serum creatinine, age, sex and race. The second equation, Chronic Kidney Disease Epidemiology Collaboration (CKD-EPI) equation [18] has been shown to be a more reliable marker of measured GFR and is superior in predicting the risk of adverse clinical outcomes such as mortality and stroke compared to MDRD. From the results obtained as presented in Table 4, depending on the equation used to estimate the glomerular filtration rate, renal insufficiency (chronic kidney disease) pre-HAART was 9.5% (19/200) for MDRD and 18% (36/200) for CKD-EPI. After-HAART GFR readings to estimate renal insufficiency was 10% (22/200) for MDRD calculation and 16.5% (33/200) for CKD-EPI.

Table 4: Estimation of Chronic kidney disease prevalence among HIV seropositive participants; before and after HAART exposure. View Table 4

Discussion


HIV infections are of major public health importance worldwide and especially in developing countries, where it affects the socio-economic status of individuals, families, communities and the entire societies [19]. Antiretroviral drug treatment for HIV infections has considerably improved the prognosis for HIV infections by repairing immune veracity and regulating opportunistic infections [20]. The introduction of HAART, which is an amalgamation therapy, has helped in suppressing human immunodeficiency viral replication to undetectable levels and sustaining this suppression for months or years in a substantial number of persons. However, there have been some downsides to HAART treatment including the possible upsurge in cytopenias and biochemical abnormalities in treated patients. In this study, we sought to determine the prevalence and predict the degree of haematological and biochemical abnormalities of HIV infected patients that may be associated with the administration of HAART.

Cytopenia, in particular anemia, which are common hematological abnormalities in HIV have been shown to predict disease progression and mortality [21,22]. However, the exact mechanism by which HIV in vivo alters the microenvironment in the bone marrow to inhibit hematopoiesis and directly result in cytopenia is uncertain. In this study, the results obtained indicated that although there was a marked reduction in HIV viral load after-HAART, from 17.6 ± 3.65 × 103 log10 copies/ml, to 2.64 ± 24.17 × 103 log10 copies/ml corresponded to a general decrease in prevalence of anaemia, leucopoenia, lymphopenia and thrombocytopenia (Table 3). Although drugs such as Zidovudine, a known reverse transcriptase drug has been implicated as an inducer of cytopenias in HIV patients [23], we did not observe any adverse findings in inducing cytopenias. This may be because, in Ghana, HAART includes a combination of different classes of antiretroviral drugs such as, Non- Nucleoside Reverse Transcriptase Inhibitors (NNRTI's) Reverse Transcriptase Inhibitors (NRTI's) and Protease Inhibitors (PI). Treatment doses thus, is a combined two Nucleoside Reverse Transcriptase Inhibitors (NRTI's) and effective Protease Inhibitors (PI) or Non-Nucleoside Reverse Transcriptase (Figure 1). Additionally, factors such as the study population, socio-demographic characteristics and the design methods employed may account for the decrease in cytopenias after-HAART.

The most common non-AIDS-related cause of death among HIV infected patients, accounting for 14-18% of all deaths [24] is due to liver malfunctions. Nearly half of deaths among hospitalized HIV infected patients in the HAART era have been attributed to liver disease [25]. It ranges from asymptomatic mild elevations of liver enzymes to cirrhosis and end stage liver disease with all its complications (e.g., ascites, esophageal varices, and hepatic encephalopathy). Liver cirrhosis is a more serious consequence with an estimate overall prevalence of 8.3% in HIV infected persons [26]. Biochemical abnormalities of liver function such as elevated levels of liver enzymes involved in breakdown of amino acids, alanine aminotransferase (ALT) and aspartate aminotransferase (AST) reflects liver cell injury and indicates liver disease [24]. In this study, we recorded significant elevated levels (p < 0.001) for AST after-HAART. However, there was no significant difference in the serum levels for ALT. Alkaline phosphatase (ALP) which is also a key surrogate index for diagnosing cholestasis was also significantly increased after-HAART (Table 2). Thus, two key liver enzymes, i.e. ALT and ALP, important for diagnosing drug induced liver toxicity showed elevated levels after HAART treatment. Some factors that account for liver enzyme abnormalities in HIV patients include opportunistic infections, AIDS related neoplasms, concomitant infection with chronic hepatitis C virus (HCV), chronic hepatitis B virus (HBV), alcohol abuse, and nonalcoholic fatty liver disease [27,28]. Medication-related hepatotoxicity induced by HAART treatment is also a major contributing factor to liver disease, however, the risk factors and the burden of liver disease might be different in different geographical areas and among study populations [29]. Another possible explanation to the elevated levels of AST and ALP after-HAART treatment could be due to class-specific effects of ART drugs that may cause direct mitochondrial toxicity of the liver as well as other organs leading to liver failure and lactic acidosis [30].

Metabolism and excretion of waste products of metabolism comprising drug metabolites is one of the major role of the kidney and the ability of the kidneys to function appropriately is impaired by HIV infection and HAART therapy [13]. In this study, we found that serum urea and serum creatinine which are biomarkers for diagnosing renal disorders [31] were significantly elevated after-HAART (Table 2). Furthermore, GFR readings to estimate renal insufficiency was 10% (22/200) for MDRD calculation and 16.5% (33/200) for CKD-EPI after-HAART representing a considerable prevalence of chronic kidney disease in the study population (Table 4). HAART has been shown to cause various renal syndromes clinically, as well as, various electrolyte and acid-base complications, chronic kidney disease, acute renal injury (ARI) and lactic acidosis [32]. In some cases, complications due to prolonged HAART treatment include acute renal injury (ARI), chronic kidney disease (CKD), end-stage renal disease and tubulopathies and patients may require renal replacement therapy [33]. Renal failure usually manifests as proximal tubular injury with related reduction in glomerular filtration and patients often develop glycosuria, increased serum creatinine and low serum phosphate tubular proteinuria [34]. Tenofovir, a known Nucleotide Reverse Transcriptase Inhibitor (NRTI) drug has been implicated in accumulation in the proximal renal tubule through the activity of kidney-specific organic anion transporters 1 [35]. This accumulation thus results in a likely disproportion in the acceptance and efflux of metabolites from the kidney [36].

Conclusion


Taken together, results from this study showed that HAART therapy does not adversely affect the haematological indices of the study population. Prevalence of anaemia, leucopoenia, lymphopenia and thrombocytopenia were significantly decreased after HAART. Furthermore, the viral loads of participants were significantly decreased after HAART. However, serum liver enzymes ALT and ALP important for diagnosing drug induced liver toxicity showed highly significant elevated levels after HAART. Serum urea and serum creatinine, which are biomarkers for diagnosing renal disorders, were also significantly elevated after HAART. In summary, results from this study provides additional information to healthcare providers to regularly monitor haematological and biochemical indicators of HIV patients on HAART detect and prevent toxicity early enough to improve on the quality of life and reduce the risk of mortality. In a low-income setting like Ghana, results from this study are important in clinical practice and patient care, given that in-depth understanding from this study will help healthcare providers to give much attention to HIV/ AIDS patients taking HAART. This will help to decrease HAART induced toxicity that reduce the quality of life and increases the risk of mortality. Additionally, this study will help in harmonizing highly active antiretroviral therapy routines and dosage prescription in order to reduce abnormalities levels. Clinicians thus can also recommend regular laboratory checks up for HIV- patients to reduce abnormalities induced by antiretroviral drugs.

Declarations


Ethical consideration

The study protocol was reviewed and approved by the Ethical Committee on Human Research Publications and Ethics (CHRPE) of the Kwame Nkrumah University of Science and Technology (KNUST) under the registry number CHRPE/AP/021/15. Informed consent was obtained from all participants before sample collection. All participants were at liberty to withdraw from the study at any time without any recourse.

Consent for publication

Not applicable.

Availability of data and materials

The data that support the findings of this study are available on request to the authors.

Competing Interests


The authors declare that they have no competing interests.

Funding


This study received no funding.

Author Contribution


SKA and EAB conceived and designed the study. SKA carried out data collection and performed all the laboratory procedures. EAB performed statistical analysis and helped to draft the manuscript. All authors read and approved the final manuscript.

Acknowledgement


The authors acknowledge the support of Paul Kwaw Ntodi (MD), Medical Director of Effia Nkwanta Regional Hospital and Roland Sowah (MD), the Regional Coordinator of AIDS and head of Comprehensive Care Centre (CCC). The authors also acknowledge the support of management and staff of the Effia Nkwanta Regional Hospital.

References


  1. http://www.who.int/mediacentre/factsheets/fs360/en/.

  2. Kharsany ABM, Karim QA (2016) HIV Infection and AIDS in sub-saharan Africa: Current status, challenges and opportunities. Open AIDS J 10: 34-48.

  3. Lundgren JD, Babiker AG, Gordin F, Emery S, Grund B, et al. (2015) initiation of antiretroviral therapy in early asymptomatic HIV infection. N Engl J Med 373: 795-807.

  4. Montaner JS, Hogg R, Wood E, Kerr T, Tyndall M, et al. (2006) The case for expanding access to highly active antiretroviral therapy to curb the growth of the HIV epidemic. Lancet 368: 531-536.

  5. Reniers G, Slaymaker E, Nakiyingi-Miiro J, Nyamukapa C, Crampin AC, et al. (2014) Mortality trends in the era of antiretroviral therapy: Evidence from the network for analyzing longitudinal population based HIV/AIDS data on Africa (ALPHA). AIDS 28: S533-S542.

  6. Dikshit B, Wanchu A, Sachdeva RK, Sharma A, Das R (2009) Profile of hematological abnormalities of Indian HIV infected individuals. BMC Blood Disord 9: 5.

  7. Moore RD, Forney D (2002) Anemia in HIV-infected patients receiving highly active antiretroviral therapy. J Acquir Immune Defic Syndr 29: 54-57.

  8. World Health Organization (2015) Guideline on when to start antiretroviral therapy and on pre-exposure prophylaxis for HIV. Geneva: World Health Organization.

  9. Cohen MS, Chen YQ, McCauley M, Gamble T, Hosseinipour MC, et al. (2011) Prevention of HIV-1 infection with early antiretroviral therapy. N Engl J Med 365: 493-505.

  10. Assefa M, Abegaz WE, Shewamare A, Medhin G, Belay M (2015) Prevalence and correlates of anemia among HIV infected patients on highly active anti-retroviral therapy at Zewditu Memorial Hospital, Ethiopia. BMC Hematol 15: 6.

  11. Ogundahunsi OA, Akinleye VA, Oyegunle AA, Mbacham W (2008) The prevalence of renal disorder in HIV/AIDS patients on HAART. Int J Biomed Health Sci 4: 1-4.

  12. Ministry of Health & Ghana Health Service (2010) Guide Lines for Antiretroviral Therapy in Ghana. 1-95.

  13. Owiredu W, Quaye L, Amidu N, Addai-Mensah O (2013) Renal insufficiency in Ghanaian HIV infected patients: Need for dose adjustment. Afri Health Sci 13: 101-111.

  14. Owiredu WK, Quaye L, Amidu N, Addai-Mensah O (2011) Prevalence of anemia and immunological markers among Ghanaian HAART-naive HIV-patients and those on HAART. Afri Health Sci 11: 2-15.

  15. Hong M, He G (2017) The 2016 Revision to the world health organization classification of myelodysplastic syndromes. J Translational Internal Med 5: 139-143.

  16. Peters AM, Henderson BL, Lui D (2000) Indexed glomerular filtration rate as a function of age and body size. Clin Sci 98: 439-444.

  17. Levey AS, Bosch JP, Lewis JB, Greene T, Rogers N, et al. (1999) A more accurate method to estimate glomerular filtration rate from serum creatinine: A new prediction equation. Modification of diet in renal disease study group. Ann Intern Med 130: 461-470.

  18. Levey AS, Stevens LA, Schmid CH, Zhang YL, Castro AF, et al. (2009) A new equation to estimate glomerular filtration rate. Ann Intern Med 150: 604-612.

  19. Anderson SJ, Cherutich P, Kilonzo N, Cremin I, Fecht D, et al. (2014) Maximizing the effect of combination HIV prevention through prioritization of the people and places in greatest need: A modelling study. Lancet 384: 249-256.

  20. Mayer KH, Kartik K Venkatesh (2010) Antiretroviral Therapy for HIV Prevention: Present status and future prospects. Am J Public Health 100: 1867-1876.

  21. Kyeyune R, Saathoff E, Ezeamama AE, Löscher T, Fawzi W, et al. (2014) Prevalence and correlates of cytopenias in HIV-infected adults initiating highly active antiretroviral therapy in Uganda. BMC Infect Dis 14: 496.

  22. Novitzky N, Thomson J, Abrahams L, du Toit C, McDonald A (2005) Thrombotic thrombocytopenic purpura in patients with retroviral infection is highly responsive to plasma infusion therapy. Br J Haematol 128: 373-379.

  23. Hawkins T (2010) Understanding and managing adverse effects of antiretroviral therapy. Antiviral Res 85: 201-209.

  24. Palella FJ, Baker RK, Moorman AC, Chmiel JS, Wood KC, et al. (2006) Mortality in the highly active antiretroviral therapy era: Changing causes of death and disease in the HIV outpatient study. J Acquir Immune Defic Syndr 43: 27-34.

  25. Bica I, McGovern B, Dhar R, Stone D, McGowan K, et al. (2001) Increasing mortality due to end-stage liver disease in patients with human immunodeficiency virus infection. Clin Infect Dis 32: 492-497.

  26. Castellares C, Barreiro P, Martin-Carbonero L, Labarga P, Vispo ME, et al. (2008) Liver cirrhosis in HIV-infected patients: prevalence, aetiology and clinical outcome. J Viral Hepat 15: 165-172.

  27. Murphy RA, Sunpath H, Kuritzkes DR, Venter F, Gandhi RT (2007) Antiretroviral therapy-associated toxicities in the resource-poor world: The challenge of a limited formulary. The Journal of Infectious Diseases 196: S449-S456.

  28. Pol S, Lebray P, Vallet-Pichard A (2004) HIV infection and hepatic enzyme abnormalities: Intricacies of the pathogenic mechanisms. Clin Infect Dis 38: S65-S72.

  29. Ena J, Amador C, Benito C, Fenoll V, Pasquau F (2003) Risk and determinants of developing severe liver toxicity during therapy with nevirapine-and efavirenz-containing regimens in HIV-infected patients. International Journal of STD & AIDS 14.

  30. Cote H, Brumme ZL, Craib KJ, Alexander CS, Wynhoven B, et al. (2002) Changes in mitocondrial DNA as a marker of nucleoside toxicity in HIV-infected patients. N Engl J Med 346: 811-820.

  31. Endre ZH, Westhuyzen J (2008) Early detection of acute kidney injury: Emerging new biomarkers. Nephrology 13: 91-98.

  32. Wools-Kaloustian K, Gupta SK, Muloma E, Owino-Ong'or W, Sidle J, et al. (2007) Renal disease in an antiretroviral-naive HIV-infected outpatient population in Western Kenya. Nephrol Dial Transplant 22: 2208-2212.

  33. Palella FJ, Delaney KM, Moorman AC (1999) Declining Morbidity and Mortality among Patients with Advanced Human Immunodeficiency Virus Infection. N Engl J Med 279: 853-860.

  34. Kalayjian RC, Franceschini N, Gupta SK, Szczech LA, Mupere E, et al. (2008) Suppression of HIV-1 replication by antiretroviral therapy improves renal function in persons with low CD4 cell counts and chronic kidney disease. AIDS 22: 481-487.

  35. Kumarasamy N, Sundaram S, Poongulali S, Ezhilarasi C, Pradeep A, et al. (2018) Prevalence and factors associated with renal dysfunction in patients on tenofovir disoproxil fumarate-based antiretroviral regimens for HIV infection in Southern India. J Virus Erad 4: 37-40.

  36. Cooper RD, Wiebe N, Smith N, Keiser P, Naicker S, et al. (2010) Systematic review and meta-analysis: renal safety of tenofovir disoproxil fumarate in HIV-infected patients. Clin Infect Dis 51: 496-505.