Original Article | OPEN ACCESS DOI: 10.23937/2474-1353/1510151

Early Implanon Discontinuation and Associated Factors among Woman's of Implanon Users in Ethiopia: A Systematic Review and Meta-Analysis

Yeshiwas Ayale Ferede*, Worku Chekol Tassew and Teshale Ayanaw Abuhay

Department of Nursing, Teda Health Science College, Gondar, Ethiopia

Abstract

Background: Worldwide, large number of women becomes unprotected to the risk of pregnancy after contraceptive discontinuation. To ensure safe and consistent services addressing the factors that contribute to early Implanon discontinuation is necessary to women in the reproductive age group through appropriate use of contraceptive methods and method switching. Considerable studies have been done in Ethiopia about early implanon discontinuation among implanon users. But inconsistent findings were reported. Thus, this study was conducted to determine the pooled early discontinuation of implanon and to identify associated factors among implanon users in Ethiopia.

Methods: Search of Pub Med, Scopus, Web of Science, Google Scholar, MEDLINE, CINAHL, Science Direct and Cochrane Library was conducted to identify relevant studies from November 1, 2022 to November 24, 2022. The Newcastle-Ottawa scale tool was used to measure the quality of included studies. The pooled estimate of early implanon discontinuation was performed using Random effect model. Data extracted independently by two reviewers with a standardized data extraction format and exported to STATA software version11 for meta-analysis. Heterogeneity among studies was checked by Cochrane Q and I2 test statistics.

Results: After reviewing 19,002 studies, 8 studies involving 3,022 implanon users were included for this review and meta-analysis. The pooled estimate of early implanon discontinuation among implanon users in Ethiopia was 39.78% (95%CI: 23.03, 56.53). Identified factors associated with early implanon discontinuation were developed side effect (AOR = 1.96; 95%CI: 0.42, 3.35), services dissatisfaction (AOR = 1.27; 95%CI: 0.27, 5.96), having appointment after insertion (AOR = 0.66; 95%CI: 0.23, 1.92), and having pre-insertion counselling (0.75; 95%CI: 0.35, 1.60).

Conclusion: The systematic review and meta-analysis of this study revealed that more than three-eighth of implanon user discontinues their implanon early. Experienced side effect, services dissatisfaction, lack of appointment after insertion and inadequate pre-insertion counselling were identified factors associated with early implanon discontinuation among implanon users in Ethiopia. Health care providers should give proper pre insertion counseling based on manual for the clients by giving highlight on side effects. Moreover, improving client service satisfaction and appointment follow-up also should be considered to accelerate the proper use of Implanon.

Keywords

Magnitude, Associated factors, Implanon, Discontinuation, Early, Ethiopia

Abbreviations

CI: Confidence Interval; OR: Odds Ratio; SNNP: Southern Nations Nationalities and Peoples; PROSPERO: Prospectively Registered on International Prospective Register of Systematic Reviews; JBI: Joanna Briggs Institute

Background

Contraceptive use is the base for fertility, which plays a significant role in reducing maternal morbidity and mortality [1]. Implanon is one of the long-acting reversible contraceptives that prevent pregnancy for 3 consecutive years with a failure rate of < 1% [2]. More than 4.5 million women worldwide have used Implanon [3,4]. In sub-Saharan Africa, an increasing number of women are using contraceptive implants. In Ethiopia, around 8% of women in the reproductive age group are using implants [5,6]. Early discontinuation of implanon is switching or stopping the method before 12 months of insertion and implanon discontinuation is discontinuation before 2.5 years after insertion of implanon [7,8].

Worldwide, a large number of women become unprotected to the risk of pregnancy after contraceptive discontinuation [9]. In sub-Saharan Africa including Ethiopia, there are high population and reproductive health challenges, which are representing higher maternal morbidity and mortality, higher total fertility rate, unsafe abortion from unintended pregnancies and increasing population growth [10,11]. In the low income countries implies 16% of women are considered at risk of an unintentional pregnancy after contraceptive discontinuation [12], and in Ethiopia 42% women were at risk of conception. Therefore, early identification and intervention of early implanon discontinuation among implanon user is necessary in decreasing such avoidable outcomes. Despite the commitment of the Ethiopian Ministry of Health over the past few decades to promoting reproductive services where contraceptive continuation is a priority, the discontinuation of Implanon is unsatisfactorily high [7]. Addressing the factors that contribute to early Implanon discontinuation is essential to ensure safe and reliable services to women in the reproductive age group through appropriate use of contraceptive methods and method switching. In Ethiopia, studies assessing early implanon discontinuation and associated factors among implanon user have contributed a range of findings [7,8,13-17]. These small and fragmented studies revealed that early discontinuation of implanon ranged from 16% in Ofla District, Tigray, Northern Ethiopia [18], to 65% in Debre-tabor town, Amhara regional state [13]. Such discrepancy has not been yet investigated. Regarding associated factors, previous studies have cited mothers' experienced side effect [7,13-18], services dissatisfaction [13-15,18], lack of appointment after insertion [13-16,18], and in adequate pre-insertion counselling [7,8,14-17] as the common factors contributing to early implanon discontinuation among women's of implanon users in Ethiopia.

There was no a nationwide study assessing the magnitude and associated factors of early implanon discontinuation among implanon user. Thus, this systematic review and meta-analysis aims to estimate the pooled prevalence and associated factors of early implanon discontinuation among implanon users in Ethiopia using available studies. The findings of this systematic review and meta-analysis will highlight the magnitude and associated factors of early implanon discontinuation with implications to improve health workers' interventions, ensure cost-effectiveness, and accelerate the reduction of early implanon discontinuation among women of implanon user.

Methods

The methods adopted for this systematic review and meta-analysis are consistent with the guidelines detailed on the Preferred Reporting Items for Systematic Reviews and Meta-Analysis (PRISMA) checklist. The systematic review was prospectively registered on International Prospective Register of Systematic Reviews (PROSPERO) with unique number of CRD42022375827.

Eligibility criteria

Original research studies reporting early implanon discontinuation and/or associated factors among implanon users in Ethiopia were included in the study. Observational studies with no restrictions on publication year were considered. Both published and unpublished articles but written only in English language were considered for inclusion. All publications reported up to November 24, 2022 were considered. Studies that did not clearly report early implanon discontinuation among implanon user in Ethiopia were excluded. In addition, articles without full text, and abstract, editorial reports, letters, reviews, and commentaries were excluded from the stud.

Outcome of interest

This review considered two main outcomes. Early implanon discontinuation, as the primary outcome variable of this study, is defined as early discontinuation of implanon is switching or stopping the method within 12 months of insertion and implanon discontinuation is defined as discontinuation at less than 2.5 years after insertion of implanon [7,8]. The second outcome of this study was to identify factors associated with early implanon discontinuation among implanon user. For the second outcome, we determined the association between early implanon discontinuation and associated factors in the form of the log odds ratio. Four major factors assessed by each primary studies were selected to explore their association with early implanon discontinuation. For each factor, the odds ratio was calculated based on the binary outcome data reported by each study. The factors assessed for this review were services dissatisfaction (yes versus no), developed side effect (yes versus no), lack of appointment after insertion (yes versus no), and lack of pre-insertion counseling (yes versus no).

Study selection

EndNote X7 software was used to manage identified and retrieved studies. After removing the duplicated articles from EndNote Library, the titles and abstracts of the remaining articles were assessed independently by two reviewers (YAF and WCT). The full texts of articles were reviewed to confirm eligibility criteria match. Disagreements between the two reviewers were resolved by discussion.

Information sources and search strategy

A comprehensive search and article retrieval strategy were performed to find potentially relevant articles in the following databases: Google Scholar, Pub Med, Scopus, Web of Science, MEDLINE, CINAHL, Science Direct and Cochrane Library. In addition, the reference lists of all articles were considered and searched. Institutional Digital Library were also searched for gray literature and unpublished papers. The full electronic search strategy was searched using the following search terms: premature OR Early implanon discontinuation OR interruption OR withdrawal OR cessation OR termination AND implanon user OR customer, 'factors', 'determinants', 'reasons', 'predictors' and 'Ethiopia'. The searching of articles was conducted from November 1, 2022 to November 24, 2022.

Data extraction

All required data from included articles were extracted using a standardized data extraction format. Two reviewers (YAF and TAA) independently extracted the data using the Joanna Briggs Institute (JBI) data extraction form. Disagreement arose during data extraction was resolved by discussion. relevant information was collected for each article, including: First/corresponding authors' name, region, publication year, study design, study setting, participants, sample size, sampling method, outcome measures, and associated factors of early implanon discontinuation.

Quality assessment

The quality of each original study was critically assessed using the Newcastle-Ottawa scale tool adapted for cross-sectional studies. The tool uses 10 items to examine the internal and external validity of included data for meta-analysis. Evaluation scores are in the range of 0-10 with < 4 as "low quality", 4-6 as "moderate quality", and > 6 as "high quality. Two authors (YAF&WCT) independently assessed the quality of studies included in the review. Disagreements between reviewers during quality assessment were handled through discussion.

Data processing and analysis

The individual primary studies were described using a summary table. Findings were presented using forest plot graphical representation with 95% confidence interval (CI). We used stata version 11, statistical software to conduct this meta-analysis. Random-effect model was used to pool the estimate of early implanon discontinuation prevalence. The Cochran's Q test and I2 were used to detect heterogeneity between the studies. In addition, evidence of publication bias was checked using visual inspection of funnel plots asymmetry, and Egger's regression test with p-value of less than 0.05 as a cutoff point to declare the presence of publication bias. The results indicated that evidence of publication bias was not observed.

Results

Study selection

Overall, 19,002 potentially relevant articles were retrieved. Two reviewers (YAF and WCT) independently assessed articles based on their titles and abstracts which result in the exclusion of 7,724 articles Fifty four full-text articles were assessed for eligibility based on the inclusion and exclusion criteria, which result further exclusion of 46 articles. Finally, 8 articles were included in the final analysis (Figure 1).

Figure 1: Flow chart of study selection for systematic review and meta-analysis of early Implanon discontinuation among Implanon users in Ethiopia, 2022. View Figure 1

Study characteristics

All of the articles included in this meta-analysis were cross-sectional designs. Of 8 studies included, 3 were from SNNP region, 1 was from Amhara region, 2 were from Oromia, and 2 were from Tigray. 2 articles were published in 2022. In this study, a total of 3,022 participants were included from an estimated 3,094 sample size, yielding 97.67% response rate. The prevalence of early implanon discontinuation reported in the selected studies varied from 16% to 65% (Table 1).

Table 1: Descriptive summary of primary studies included in the meta-analysis of early Implanon discontinuation and associated factors among Implanon users, 2022. View Table 1

Meta-Analysis

Risk of bias assessment for the included studies

The quality of each original study was critically assessed using the Newcastle-Ottawa scale tool adapted for cross-sectional studies. From the total included studies, the quality assessment summary showed more than three-fourth (n = 7, 87.5 %%) of the studies had high quality, and the reaming one-fourth (n = 1, 12.5 %%) of studies had moderate quality (Table 2 and Figure 2).

Figure 2: Forest plot of the pooled prevalence of early implanon discontinuation among implanon users in Ethiopia, 2022. View Figure 2

Table 2: Quality assessment of primary studies included in the meta-analysis of early implanon discontinuation and its associated factors among Implanon user in Ethiopia, 2022. View Table 2

Publication bias

Visual inspection of the asymmetry in funnel plots, and Egger regression tests were employed to assess the existence of publication bias. Accordingly, the result of both funnel plots and the Egger's tests revealed the absence of publication bias in the included studies. The result of Egger's test was not statistically significant (p = 0.432), which declared absence of publication bias. Additionally, visual inspection of the funnel plots showed the symmetric distribution of studies (Figure 3).

Figure 3: Graphic representation of publication bias using funnel plots of all included studies, 2022. View Figure 3

Subgroup analysis

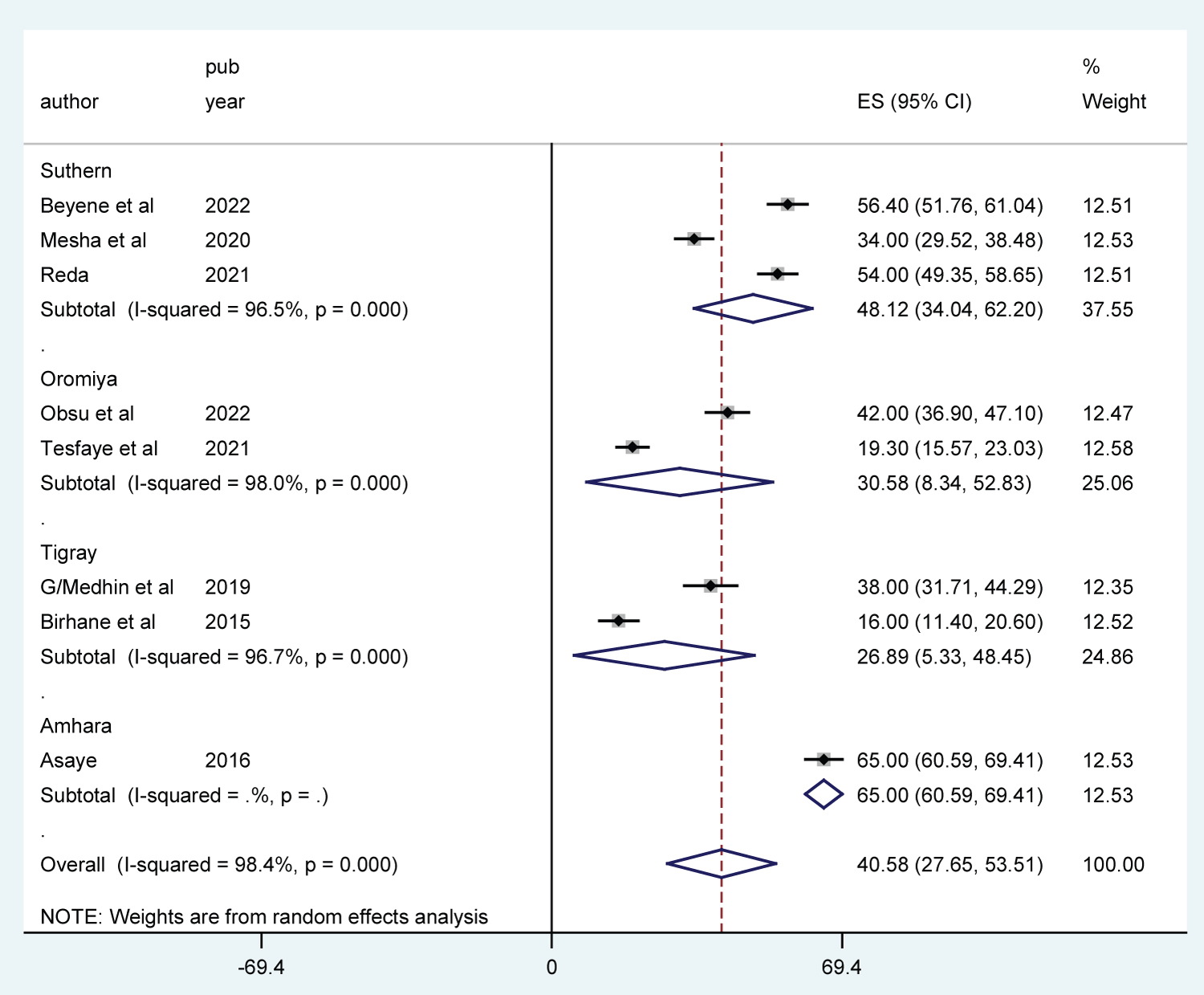
Subgroup analysis was carried out based on the regions where the primary studies were conducted. Accordingly, the highest early implanon discontinuation was observed in Amhara region with a prevalence of 65%, and the lowest early implanon discontinuation was observed in Tigray region with prevalence of 16% (Figure 4).

Figure 4: Subgroup analysis (by region) of studies included in meta-analysis on early Implanon discontinuation among Implanon users in Ethiopia, 2022. View Figure 4

Meta-analysis of early implanon discontinuation prevalence

8 studies reported the prevalence of early implanon discontinuation in a total of 3,022 study participants. The pooled prevalence of early implanon discontinuation among implanon user in Ethiopia was found to be 39.78 (23.03, 56.53). Heterogeneity across the included studies was exhibited (I2 = 98.4%; p < 0.001) in estimating the pooled early discontinuation of implanon among implanon users. Hence, to estimate the pooled prevalence of early implanon discontinuation among implanon users, Random effect model was used during meta-analysis (Figure 2).

Meta-analysis of factors associated with early discontinuation of Implanon

In this meta-analysis, variables common to all participants were pooled quantitatively to examine if they are significantly associated with prevalence of early implanon discontinuation. Nevertheless, some factors were not pooled because of inconsistent categorization in the primary studies. Those determinants reported in more than one original study were included in this meta-analysis. Accordingly, lack of appointment after insertion, developed side-effect, service dissatisfaction and lack of pre-insertion counseling were significant factors associated with prevalence of early implanon discontinuation.

Seven studies indicated that developed side effect has a significant association with early implanon discontinuation. The odds of early implanon discontinuation were 1.96 times (AOR = 1.96; 95%CI: 0.42, 3.35) higher among implanon users who developed side effect when compared with those who hadn't developed side effect. In this meta-analysis, included studies were characterized with existence of heterogeneity (I2 = 96.7%, P < 0.001). Thus, random effect model analysis was used (Figure 5).

Figure 5: Forest plot showing the pooled odds ratio of the association between developed side effect and early Implanon discontinuation among Implanon user in Ethiopia, 2022. View Figure 5

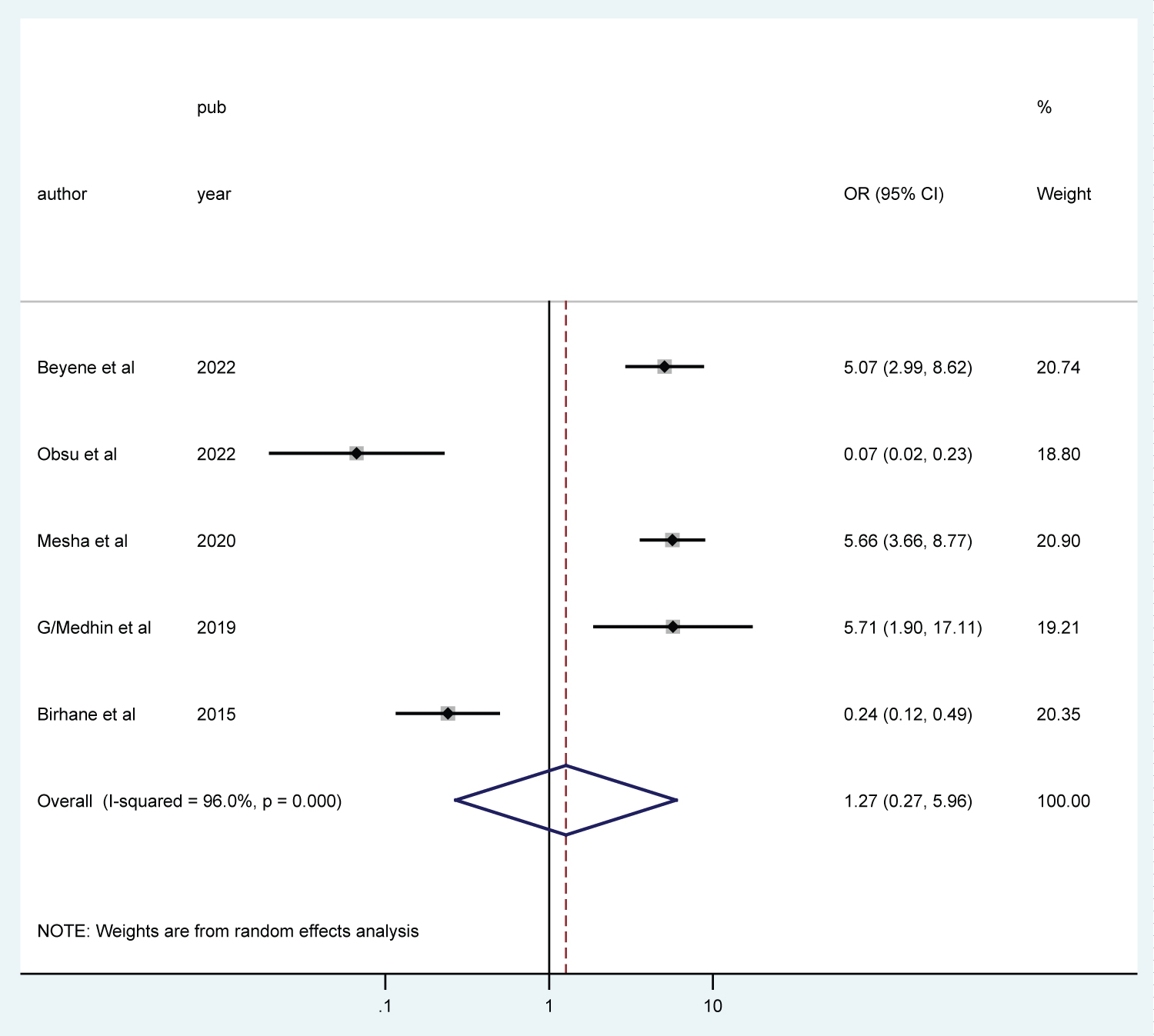
Five studies indicated that services dissatisfaction has a significant association with early implanon discontinuation. The odds of early implanon discontinuation were 1.27 (AOR = 1.27; 95%CI: 0.27, 5.96) higher among implanon users who experienced services dissatisfaction when compared with those who hadn't experienced services dissatisfaction. In this meta-analysis, included studies were characterized with existence of heterogeneity (I2 = 96%, P < 0.001). Thus, random effect model analysis was used (Figure 6).

Figure 6: Forest plot showing the pooled odds ratio of the association between services dissatisfaction and early implanon discontinuation among implanon user in Ethiopia, 2022. View Figure 6

Seven studies also indicated that appointment after insertion has a significant association with early implanon discontinuation. The odds of early implanon discontinuation were 0.66 times (AOR = 0.66; 95%CI: 0.23, 1.92) lower among implanon users who had appointment after insertion when compared with those who hadn't appointment after insertion. In this meta-analysis, included studies were characterized with existence of heterogeneity (I2 = 95.5%, P < 0.001). Thus, random effect model analysis was used (Figure 7).

Figure 7: Forest plot showing the pooled odds ratio of the association between having appointment after insertion and early implanon discontinuation in Ethiopia, 2022. View Figure 7

Furthermore, four studies indicated that pre-insertion counseling has a significant association with early implanon discontinuation. The odds of early implanon discontinuation were 0.75 times (AOR = 0.75; 95%CI: 0.35, 1.60) lower among implanon users who had pre-insertion counseling when compared with those who hadn't pre-insertion counseling. In this meta-analysis, included studies were characterized with existence of heterogeneity (I2 = 79.9%, P ≤ 0.002). Thus, random effect model analysis was used (Figure 8).

Figure 8: Forest plot showing the pooled odds ratio of the association between having pre-insertion counseling and early Implanon discontinuation in Ethiopia, 2022. View Figure 8

Discussion

This meta-analysis was conducted to estimate the national prevalence of early implanon discontinuation and associated factors. To the best of our knowledge, this meta-analysis is the first of its kind to estimate the pooled prevalence of early implanon discontinuation and associated factors among implanon users in Ethiopia. This review indicated a wide range of early implanon discontinuation prevalence rates, ranging from as low as 16% to as high as 65%. The pooled prevalence early implanon discontinuation in Ethiopia was 39.78% (95%CI: 23.03, 56.53). Even though there is no meta-analysis on this research question, early implanon discontinuation reported in the present study is consistent with other studies conducted in Sudan (43%), Yemen (43%), India (37%), and Cambodia (45%) [7,12,19,20]. However, the finding in this meta-analysis is higher than a study carried out in Nigeria, US, which reported early discontinuation of implanon (26.5%),and (25.2%) [21,22] respectively. The difference could be attributed to deficiency of preinsertion counseling mainly about the possible side effects of the method as compared to other studies [16]. In addition to this, it might be due to lack of efforts made to improve counseling, specially, on those mothers who developing side effects.

On the other hand the finding of current study were found to be lower than a study done in South Africa where about (67.3%) of the women discontinued implanon early [23]. This difference might be due to sample size, study design, difference in the study setting and socio-cultural and socio demographic variability.

This meta-analysis showed that implanon users who developed side effect were more likely to discontinue implanon early compared with those who hadn't developed side effect. This finding was supported by other studies conducted in Uganda [24] and upper Egypt [25]. This might be related to the fact that inadequate pre insertion counseling of the potential side effects during the insertion of implanon by service provider. As a result, comprehensive counseling on the side effects of Implanon during Implanon insertion is beneficial in overcoming early Implanon discontinuation due to the side effects of Implanon [26].

Women who were not satisfied with the service delivered during the insertion of Implanon were more likely to discontinue Implanon as compared to those who were satisfied with the service given during the insertion of Implanon. This is since women who were not interested in the method choice, explanation of the service provider, privacy, and other service provisions during the insertion of the Implanon may remove their method early.

Furthermore, the current study revealed that women who were appointed for follow-up were 34% less likely to discontinue the Implanon as compared to those who hadn't appointment for follow-up. This might be during follow-up visit, if any compliant arises from the client, they will get appropriate solution from the health providers, and also there might be post-insertion counseling on the anticipated side effects.

Moreover, women who had pre-insertion counseling on Implanon were 25% less likely to discontinue as compared to those who hadn`t pre-insertion counseling. Lack of proper counseling and information about the side effects, method change was more likely to consequence in a negative attitude towards methods whenever they experienced the side effects. The possible explanation might be if women have very strong information about the provided service, they will give up with slight side effects and may have a higher chance of continuing the method.

Limitations of the Study

Though this study is the first systematic review and meta-analysis about early implanon discontinuation among implanon users in Ethiopia, it was not without limitations. In this meta-analysis, articles published only in the English language and have available full-text versions were included. The pooled odds ratio for all variables associated with early implanon discontinuation among implanon users were not examined because the included studies classified the variables in different ways. Furthermore, this study represented only studies reported from four regions which may affect the pooled prevalence of early implanon discontinuation.

Conclusion

This systematic review and meta-analysis found that more than three-eighth of implanon user withdraw their implanon early. Experienced side effect, services dissatisfaction, appointment after insertion and pre-insertion counseling were identified factors associated with early implanon discontinuation among implanon users in Ethiopia. A great effort should be made to address women's perceptions and understanding through mass media and health education programs and Health care providers should also give appropriate pre insertion counseling based on manual to the clients by giving emphasize on side effects. Furthermore, improving client service satisfaction and appointment follow-up also should be considered to escalate the proper use of Implanon.

Acknowledgments

The authors would like to thank the authors of the included primary studies, which used as source of information to conduct this systematic review and meta-analysis.

Funding

No funding was obtained for this study.

Competing Interests

The authors have declared that there are no competing interests.

References

  1. Ahmed S, Li Q, Liu L, Tsui AO (2012) Maternal deaths averted by contraceptive use: An analysis of 172 countries. Lancet 380: 111-125.
  2. Bhatia P, Nangia S, Aggarwal S, Tewari C (2011) Implanon: Subdermal single rod contraceptive implant. J Obstet Gynaecol India 61: 422-425.
  3. Lee AL, Burge AT, Holland AE (2015) Airway clearance techniques for bronchiectasis. Cochrane Database Syst Rev 2013: CD008351.
  4. Bado AR, Badolo H, Zoma LR (2020) Use of modern contraceptive methods in Burkina Faso: what are the obstacles to male involvement in improving indicators in the centre-east and centre-north regions? Open Access J Contracept 11: 147-156.
  5. Jacobstein R (2018) Liftoff: The blossoming of contraceptive implant use in Africa. Glob Health Sci Pract 6: 17-39.
  6. Sisay MM, Geremew TT, Demlie YW, Alem AT, Beyene DK, et al. (2019) Spatial patterns and determinants of postnatal care use in Ethiopia: findings from the 2016 demographic and health survey. BMJ Open 9: e025066.
  7. Gebrekidan KG, Nerea MK, Gerezgiher H, Haftu M (2019) Early Implanon discontinuation rate and its associated factors in health institutions of Mekelle City, Tigray, Ethiopia 2016/17. BMC Research Notes 12: 1-6.
  8. Tesfaye H, Negara E, Bayisa K (2021) Early Implanon discontinuation and associated factors among women ever used implanon in Mettu district, Oromia regional state, southwest Ethiopia, 2021. Reproductive Health 18: 1-7.
  9. Ali MM, Cleland JG, Shah IH (2012) Organization WH. Causes and consequences of contraceptive discontinuation: evidence from 60 demographic and health surveys.
  10. Hammarberg K, Norman RJ, Robertson S, McLachlan R, Michelmore J, et al. Development of a health promotion programme to improve awareness of factors that affect fertility, and evaluation of its reach in the first 5 years. Reprod Biomed Soc Online 4: 33-40.
  11. Yalew SA, Zeleke BM, Teferra AS (2015) Demand for long acting contraceptive methods and associated factors among family planning service users, Northwest Ethiopia: a health facility based cross sectional study. BMC Res Notes 8: 29.
  12. Staveteig S, Mallick L, Winter R, Assaf S (2016) Discontinuation of long-acting reversible contraceptives (LARCs) in low-income countries: the role of method access and programmatic quality. Proceedings of the 2016 annual meeting; 2016: PAA, Vancouver, Canada.
  13. Beyene GN, Assefa N, Mokonnon TM, Ejigu HB, Yadeta TA, et al. (2022) Early Implanon discontinuation and associated factors among Implanon women users visiting public health facilities, in Kembata zone of Southern Ethiopia: An institution based cross-sectional study. Front Glob Womens Health 3: 909411.
  14. Obsu M, Hundessa B, Garoma S, Aman H, Merga H (2022) Magnitude and associated factors of early Implanon discontinuation among rural women in public health facilities of central Ethiopia: a community-based cross-sectional study. BMC Women's Health 22: 72.
  15. Mesha M, Alemayehu A, Daka D (2020) Prevalence and factors associated with early discontinuation rate of Implanon utilization among women who ever used Implanon in Kucha District Gamo Gofa Zone, Southern Ethiopia. BMC Women's Health 20: 1-7.
  16. Melkamu Asaye M, Syoum Nigussie T, Mequannt Ambaw W (2018) Early Implanon discontinuation and associated factors among Implanon user women in Debre Tabor town, public health facilities, Northwest Ethiopia, 2016. Int J Reprod Med 2018: 3597487.
  17. Reda M, Abebe BA (2022) Early discontinuation of Implanon and associated factors among women in public health facilities of the Hawassa administration, south Ethiopia. Afr J Midwifery Womens Health 16: 1-13.
  18. Birhane K, Hagos S, Fantahun M (2015) Early discontinuation of implanon and its associated factors among women who ever used implanon in Ofla District, Tigray, Northern Ethiopia. Int J Pharma Sci Research 6: 544-551.
  19. Agrahari K, Mohanty SK, Chauhan RK (2016) Socio-economic differentials in contraceptive discontinuation in India. SAGE Open 6: 2158244016646612.
  20. Staveteig S, Mallick L, Winter R (2015) Uptake and discontinuation of long-acting reversible contraceptives (LARCs) in low-income countries. DHS analytical studies. 2015.
  21. Balogun O, Olaomo N, Adeniran A, Fawole A (2014) Implanon sub-dermal implant: an emerging method of contraception in Ilorin, Nigeria. J Medical Biomed Sci 3: 1-5.
  22. Casey PM, Long ME, Marnach ML, Bury JE (2011) Bleeding related to etonogestrel subdermal implant in a US population. Contraception 83: 426-430.
  23. Mrwebi KP, Ter Goon D, Owolabi EO, Adeniyi OV, Seekoe E, et al. (2018) Reasons for discontinuation of Implanon among users in Buffalo City Metropolitan Municipality, South Africa: a cross-sectional study. Afr J Reprod Health 22: 113-119.
  24. Ssebatta G, Kaye DK, Mbalinda SN (2021) Early contraceptive implants removal and its associated factors among women using implants at a National Referral Hospital, Kampala Uganda. BMC Women's Health 21: 1-9.
  25. Aziz MM, El-Gazzar AF, Elgibaly O (2018) Factors associated with first-year discontinuation of Implanon in Upper Egypt: clients’ and providers’ perspectives. BMJ Sex Reprod Health 44: 260-266.
  26. Mansour D, Korver T, Marintcheva-Petrova M, Fraser IS (2008) The effects of Implanon on menstrual bleeding patterns. Eur J Contracept Reprod Health Care 1: 13-28.

Citation

Ferede YA, Tassew WC, Abuhay TA (2023) Early Implanon Discontinuation and Associated Factors among Woman's of Implanon Users in Ethiopia: A Systematic Review and Meta-Analysis. Int J Womens Health Wellness 9:151. doi.org/10.23937/2474-1353/1510151