Cross-Sectional Study | OPEN ACCESS DOI: 10.23937/2469-5734/1510168

Salivary Alkaline Phosphatase as a Dual Biomarker for Dental Caries and Obesity in Egyptian Children: A Cross-sectional Study

Salma Ahmed Abdelrahman1*, Hala Mohi El Din Abbas2 and Samaa Sayed Hanafy3

1Master's Candidate, Department of Pediatric Dentistry and Dental Public Health, Faculty of Dentistry, Cairo University, Egypt

2Head and Professor of Pediatric Dentistry and Dental Public Health Department, Faculty of Dentistry, Cairo University, Egypt

3Lecturer of Pediatric Dentistry and Dental Public Health Department, Faculty of Dentistry, Cairo University, Egypt

Abstract

Aim: To assess the relationship between salivary alkaline phosphatase (S-ALP) levels and dental caries experience and severity and the correlation between S-ALP and Body Mass Index (BMI) of children.

Methods: This cross-sectional study included 30 participants aged 6-8 years. The participants' BMI was measured, followed by saliva collection and evaluation of caries experience and severity. The S-ALP levels were measured spectrophotometrically.

Results: Results showed a positive correlation between S-ALP levels and dental caries experience in primary dentition with a statistically significant difference (p = 0.031), as well as a positive correlation between S-ALP and caries experience in mixed dentition, but without a statistically significant difference (p = 0.512). There was a positive relationship between S-ALP and caries severity, although this was not statistically significant (p = 0.306), and a positive correlation between S-ALP and BMI without a statistically significant difference (p = 0.654).

Conclusion: High levels of S-ALP are linked to a higher risk of both dental caries and obesity, making it a possible dual biomarker for the early prediction of both diseases.

Keywords

Salivary alkaline phosphatase, Biomarker, Dental caries, Body mass index, Obesity

Abbreviations

ALP: Alkaline Phosphatase; BMI: Body Mass Index; CDC: Center for Disease Control and Prevention; def: decayed, indicated for extraction, filled; DMF: Decayed, Missing, Filled; dmf: decayed, missing, filled; ICDAS: International Caries Detection and Assessment System; S-ALP: Salivary Alkaline Phosphatase

Introduction

Dental caries is considered one of the oldest and most widespread diseases in humans. It is a common chronic infectious condition caused by tooth-adhering bacteria that break down sugars into acid, gradually leading to the demineralization of tooth structure [1]. The WHO Global Oral Health Status Record (2022) estimated that nearly 3.5 billion people worldwide suffer from oral diseases, with the majority-about 75%-residing in middle-income countries. Globally, around 2 billion people experience caries in their permanent teeth, and 514 million children are affected by caries in their primary teeth [2]. Untreated carious lesions, particularly when accompanied by pain, can impact the children's development, both physically and psychologically, along with their academic performance, and everyday activities [3].

In addition, overweight and obesity have become increasingly identified as significant health concerns among children. They can negatively impact a child's health, school performance, and overall life quality. Research shows that obese children and adolescents are about five times at higher risk of remaining obese as adults, making them more vulnerable to systemic diseases [4]. Body mass index (BMI) is a measurement that compares height to weight and is commonly used to classify individuals as underweight, overweight, or obese. Weight deviation from normal occurs when there is an imbalance between calorie intake and energy expenditure [5].

Both dental caries and elevated BMI pose significant global health issues, particularly among children and adolescents [6]. Both conditions are multifactorial, with their causes involving a range of factors such as diet, nutrient availability, oral hygiene, and saliva [7].

Since teeth are constantly surrounded by saliva, the components of saliva are crucial in the process of dental caries which make them important biomarkers for the diagnosis and detection of caries. A biomarker is a measurable and observable molecular feature that indicates a specific biological or pathological process [8]. Certain salivary enzymes, like Alkaline Phosphatase (ALP), play a key role in the development of dental caries. Changes in ALP levels influence the balance of phosphate and calcium ions, leading to disruption of the balance between enamel demineralization and remineralization, thus impacting the dental caries process [9].

Concerning obesity, saliva composition has not been extensively studied. Evaluating potential risk factors contributing to both dental caries and obesity is essential for establishing the key focus areas for public health interventions. This also helps increase public awareness of the negative impacts of these conditions and offers important insights for health policymakers.

Therefore, the purpose of this study was to assess the effect of Salivary Alkaline Phosphatase (S-ALP) levels on dental caries, and the correlation between S-ALP and BMI to confirm its potential use as a diagnostic dual biomarker for both diseases.

Materials and Methods

Study design

The study is an observational cross-sectional study that assessed the correlation between S-ALP and both dental caries and the BMI of children.

Ethical approval

This study was accomplished in accordance with ethical guidelines in research with human participants. The study received approval from the Research Ethics Committee at the Faculty of Dentistry, Cairo University.

Study setting and location

The study was held at the diagnosis clinic of Pediatric Dentistry and Dental Public Health Department, Faculty of Dentistry, Cairo University.

Study population

Thirty children, aged 6 to 8 years, visiting the outpatient diagnostic clinic at the Pediatric Dentistry and Dental Public Health Department, Faculty of Dentistry, Cairo University, were selected for this study. The department’s staff members screened the patients and referred them to the principal investigator to ensure they met the eligibility criteria.

Eligibility criteria

Inclusion criteria:

1. Children between the ages of 6 and 8-years-old.

2. Children who can cooperate.

Exclusion criteria:

1. Children with any systemic or mental health conditions.

2. Children whose parents do not provide signed informed consent.

3. Children who are unwilling to participate.

Sample size determination

This power analysis used correlation between ALP and DMF as the primary outcome. As per the results of [10], the correlation coefficient (r) was 0.5678. Using alpha (α) level of (5%), β level of 0.8 (Power = 80%); the minimum sample size required was 21 subjects. This sample size determination was conducted using G * Power version 3.1.9.2.

Informed consent

The purpose of the study, along with a detailed description of the procedures and potential adverse events, was explained to the parents in straightforward terms. Participants were given the opportunity to ask questions about the study and decide whether to participate. Informed consent was signed by the parent or legal guardian, and verbal assent was obtained from each child participating in the study.

PO elements

P: Population:

Children with different growth rates, according to the Center for Disease Control and Prevention (CDC) growth charts.

O: Outcomes:

The primary outcome was S-ALP levels measured by spectrophotometry in U/L [11] while the secondary outcomes were caries experience measured by DMFT and deft for mixed dentition, and dmft for primary dentition [12,13] in scores, and the caries severity measured by ICDAS II [14] in scores.

Methodology

Evaluation of BMI:

Standard protocols for determining height and weight were followed: The height was measured using a tape measure secured to a wall, with the participant’s head held in a fixed position [15] (Figure 1). Height was measured to the nearest 0.1 m. A Beurer digital scale was used to measure weight, with participants dressed in clothes but not wearing shoes. The measurement was recorded to the nearest 0.5 kg [16]. For each participant, the BMI was determined by dividing the weight in kilograms by the height in meters squared., then compared to CDC Growth Charts [17] (Figure 2a and Figure 2b). The BMI-for-age percentiles for each gender were calculated using “PediTools” Electronic Growth Chart Calculator (Figure 3), followed by the determination of the Weight Status Category. Children were then divided into three categories:

Figure 1: Measurement of the child's height using a tape measure. View Figure 1

Figure 2: CDC growth charts. (a) CDC growth chart for girls; (b) CDC growth chart for boys. View Figure 2

Figure 3: PediTools electronic growth chart calculator. View Figure 3

Underweight: < 5 th percentile

Normal weight: from 5 th to < 85 th percentile

Overweight: from 85 to < 95 percentile

Saliva collection:

The participants were asked to follow these guidelines to improve the standardization of data collection: Children were instructed to refrain from eating or drinking for at least one hour before saliva collection. Then they were asked to rinse their mouth well with water for 1 min. Five minutes after this oral rinse, participants were instructed to passively drool the saliva into the sterile labelled disposable containers (Figure 4) [10]. Two milliliters of unstimulated saliva were obtained from each participant [18].

Figure 4: Saliva collection using the spitting method in a sterile disposable container. View Figure 4

Laboratory work: Following the saliva collection at the clinic, the samples were kept in a cooler and delivered to the laboratory within two hours to be processed [19] (Figure 5). To remove any unwanted particles, the saliva was centrifuged at 3000 rpm for ten minutes [20] (Figure 6a and Figure 6b), and then the samples were stored in the freezer at -20 degrees Celsius [21].

Figure 5: Saliva samples transported to the laboratory. View Figure 5

Figure 6: Centrifugation of saliva samples. a) Centrifuge containing saliva samples; b) Sample after centrifugation. View Figure 6

At the start of the analysis, the samples were removed from the freezer, thawed, remixed, and then assayed on the Chemistry analyzer according to the calibration curve. The S-ALP levels were determined spectrophotometrically [11] on MINDRAY BS-200 Autoanalyzer1 (Figure 7) using Archem Kit for ALP2 (Figure 8). The ALP activity level (U/L) was determined using the Kinetic method. In this process, ALP catalyzes the conversion of 4-nitrophenyl phosphate into 4-nitrophenol, resulting in a yellow color. The activity of ALP was then measured by detecting light absorption at 405 nm with a spectrophotometer [22].

Figure 7: MINDRAY BS-200 Autoanalyzer. View Figure 7

Figure 8: Archem Kit for ALP. View Figure 8

Evaluation of dental caries experience: The dental caries experience of all patients was recorded using a mouth mirror and dental explorer no. 5 by one examiner only using the DMFT index for permanent teeth and deft indices for primary teeth in mixed dentition., and dmft for children with primary dentition only (Figure 9).

Figure 9: Intraoral examination to determine caries experience. View Figure 9

The diagnostic chart included the following sections:

• Demographic data (Participant’s name, age and sex).

• Anthropometric data (Weight, height and BMI).

• Caries experience index by DMF, def and dmf.

• Caries severity index by ICDAS.

Evaluation of caries severity: Caries severity was assessed using the ICDAS II criteria (Table 1). Before the examinations, an air syringe was used to dry the teeth for 5 seconds. The examination was done by a dental explorer and a mouth mirror under the dental unit light. Each tooth was air-dried, examined, and given a score. The scores were recorded according to the following criteria: (Figure 10a, Figure 10b, Figure 10c, Figure 10d, Figure 10e, Figure 10f and Figure 10g).

Table 1: ICDAS II criteria. View Table 1

Figure 10: Clinical pictures of different ICDAS II scores. (a) Score 0; (b) Score 1; (C) Score 2; (d) Score 3; (e) Score 4; (f) Score 5; (g) Score 6. View Figure 10

Data and sources management

After data collection using a diagnostic chart, the information was entered into an Excel sheet for easier manipulation. The data was stored on the investigator’s personal computer, which is password-protected, and backed up on Google Drive and in hard copy.

Statistical analysis

The mean value and standard deviation were computed for every group and test. The normality of data was evaluated by the Kolmogorov-Smirnov and Shapiro-Wilk tests. Age and BMI followed a parametric (normal) distribution, whereas the remaining data (scores) demonstrated a non-parametric (non-normal) distribution. Concerning non-normal data, the Kruskal-Wallis test was employed to compare multiple groups within unrelated samples, and the Mann-Whitney test was utilized to compare two groups in unrelated samples. Categorical data were analysed using the chi-square test. Correlation analysis was performed using the Spearman correlation test to determine the relationships between different parameters. The level of significance was established at P ≤ 0.05. Statistical evaluation was conducted with IBM ® SPSS ® Statistics Version 20 for Windows.

Results

Demographic data

This study included 30 children, 16 males (53.3%) and 14 females (46.7%). The mean age of the children was 6.83 ± 0.88. Out of the 30 children, 9 were 8-years-old, 6 were 7-years-old, and 15 were 6-years-old (p = 0.715, p > 0.05). The demographic data is presented in Table 2, Figure 11 and Figure 12.

Figure 11: Pie chart representing gender distribution of the participants. View Figure 11

Figure 12: Bar chart representing age distribution of the participants. View Figure 12

Table 2: Demographic data of the participants. View Table 2

Anthropometric measures

Out of a total of 30 patients, the mean BMI value was 15.06 ± 1.87, where 9 (30%) showed underweight, 17 (56.7%) showed normal weight while 4 (13.3%) showed overweight (p = 0.014, p < 0.05), as presented in Table 3 and Figure 13.

Figure 13: Pie chart representing the distribution of different growths. View Figure 13

Table 3: Anthropometric data of the participants. View Table 3

Salivary alkaline phosphatase

Out of a total of 30 patients, the mean S-ALP value was 8.35 ± 7.46, as presented in Table 4.

Table 4: Mean and standard deviation values of ALP in the participants. View Table 4

Caries experience

Out of total 30 patients, the mean scores were as follows: dmf: 6.86 ± 3.08, def: 6.39 ± 3.51, DMF: 1.96 ± 2.10. This is presented in Table 5 and Figure 14.

Figure 14: Bar chart representing the mean dmf, def and DMF scores of the participants. View Figure 14

Table 5: Caries experience of the participants. View Table 5

Caries severity

Regarding the caries severity, the mean ICDAS score was 1.47 ± 1.01. Score zero represented 416 (66.2%), Score 1 represented 3 (0.5%), Score 2 represented 41 (6.5%), Score 3 represented 28 (4.5%), Score 4 represented 11 (1.8%), Score 5 represented 76 (12.1%) while Score 6 represented 53 (8.4%) (p < 0.001, p < 0.05) This is presented in Table 6 and Figure 15.

Figure 15: Bar chart representing ICDAS total frequencies. View Figure 15

Table 6: Caries severity of the participants. View Table 6

Correlations

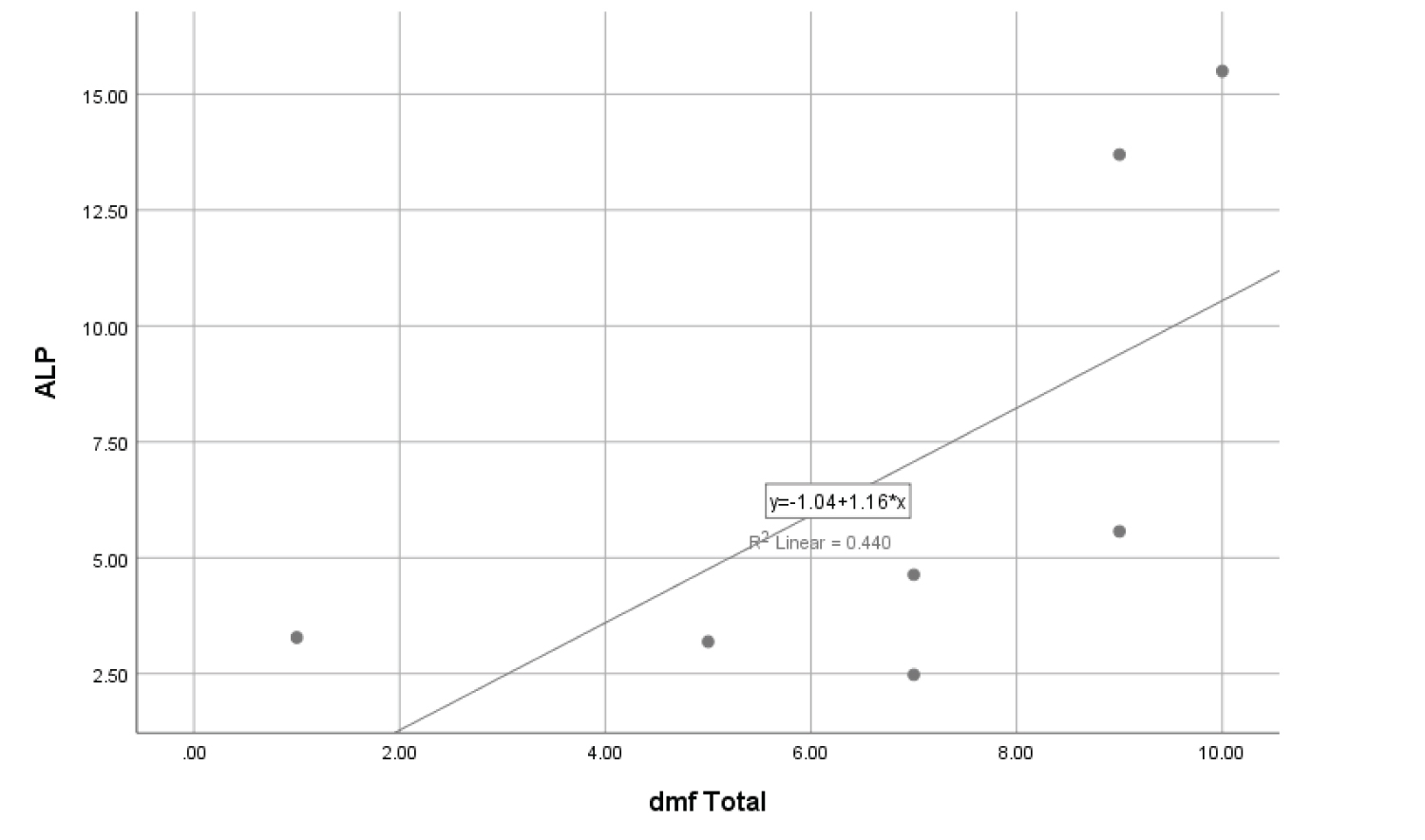
Correlation between S-ALP and dmf: There was a positive relationship between S-ALP and dmf, which means that as S-ALP increases, dmf increases and vice versa, with a statistically significant difference (p = 0.031, p < 0.05). This is presented in Table 7 and Figure 16.

Figure 16: Scatter plot representing correlation between S-ALP and dmf. View Figure 16

Table 7: Correlation between S-ALP and dmf scores. View Table 7

Correlation between S-ALP and DMF/def: There was a positive relationship between S-ALP and DMF/def, which means that as S-ALP increases, DMF/def increase and vice versa, but with no statistically significant difference (p = 0.512, p > 0.05). This is presented in Table 8 and Figure 17.

Figure 17: Scatter plot representing correlation between S-ALP and DMF/def. View Figure 17

Table 8: Correlation between S-ALP and DMF/def scores. View Table 8

Correlation between S-ALP and ICDAS: There was a positive relationship between S-ALP and ICDAS, indicating that as S-ALP increases, ICDAS increases and vice versa, but without a statistically significant difference (p = 0.306, p > 0.05). This is presented in Table 9 and Figure 18.

Figure 18: Scatter plot representing correlation between S-ALP and ICDAS. View Figure 18

Table 9: Correlation between S-ALP and ICDAS scores. View Table 9

Correlation between S-ALP and BMI: There was a positive correlation between S-ALP and BMI, indicating that as BMI increases, S-ALP levels also increase, and vice versa, but this was not statistically significant (p = 0.654, p > 0.05) This is presented in Table 10 and Figure 19.

Figure 19: Scatter plot representing correlation between S-ALP and BMI. View Figure 19

Table 10: Correlation between S-ALP and BMI. View Table 10

Discussion

Urbanization and significant economic and industrial development have accelerated changes in lifestyle and dietary habits. These variations have had a notable effect on well-being and nutrition, primarily through increased carbohydrate consumption and reduced physical exercise, especially among younger individuals [23].

The complex composition of saliva, which includes proteins, glycoproteins, mucins, and ions, plays a vital role in preventing various oral diseases, including dental caries [10]. Changes in ALP levels impact the phosphate and calcium ionic concentration, which may disrupt the balance between enamel demineralization and remineralization, thus influencing the development of dental caries [9].

Considering this perspective, the objective of this study was to explore the relationship between S-ALP levels and dental caries to validate its use as a diagnostic biomarker. Additionally, the study aimed to determine how children's BMI affects S-ALP enzyme levels.

In the present study, the suggested sample size was 21 subjects. Sample size calculation was performed based upon the results of [10]. However, thirty subjects were enrolled and participated in this study. Children between the ages of six and eight were chosen for this study, as they are especially prone to dental caries during this developmental stage. This vulnerability is linked to the eruption of their first permanent molars around age six. At this age, children are more at risk of tooth decay due to age-related challenges and insufficient understanding of proper oral health and hygiene practices [24].

Anthropometry was used to assess the growth of children, as it provides non-invasive, quantitative body measurements. According to the CDC, anthropometry is an important tool for assessing nutritional well-being in all ages [25]. The BMI was determined by using the recorded height and weight, with the formula for BMI being weight in kilograms divided by height in square meters, since in the pediatric population, BMI allows comparison between children of the same sex and age [26]. The BMI-for-age percentiles for each gender were calculated using the “PediTools” Electronic Growth Chart Calculator since it provides more accurate calculations down to the decimal [27].

Saliva was chosen as a diagnostic tool because measuring salivary biomarkers is non-invasive, simple, and cost-effective for diagnosing oral diseases [28]. While serum or urine samples are typically used for diagnosing ALP levels, saliva offers a quicker, less invasive alternative; it is affordable and causes no discomfort to the patient [29]. According to [30], unstimulated saliva has a better diagnostic value than stimulated saliva when searching for biomarkers. Therefore, unstimulated saliva was utilized in this study. The ALP levels were assessed using the colorimetric technique, due to its various advantages, including affordability, simplicity, and easy readout [31].

In the present study, the mean age of the participants was 6.83 ± 0.88. The mean BMI was 15.06 ± 1.87 which was not in accordance with [16] where the mean BMI was found to be 18.19 ± 3.9. This may be attributed to the wider range of the selected subjects’ age (3-18 years-old) compared to this study’s age group (6-8 years-old).

The mean S-ALP value was 8.35 ± 7.46, which was in line with [32] who recorded an average ALP activity of 8.51. However, it was higher than [33] where the mean ALP activity was found to be 5.11 U/L. This could be due to the higher age of the participants (19-44 years-old) since ALP levels are typically elevated during childhood and puberty due to bone growth and development [34].

Regarding the caries experience, the mean dmf score was 6.86 ± 3.08, the average def score was 6.39 ± 3.51 and the mean DMF score was 1.96 ± 2.10. The caries experience was higher in primary teeth compared to permanent teeth. Deciduous teeth are more prone to caries because of their lower calcium content and distinct structural characteristics [35].

A positive correlation was found between S-ALP and dmf, which was in line with [36] who found a positive correlation between S-ALP and nursing caries at statistically high significant differences. This could be due to the fact that increased S-ALP levels affect the ionic concentration of calcium and phosphate, potentially disrupting the balance of the remineralization and demineralization of enamel. However, this was against [37] who reported a non-significant inverse relationship between ALP and experience of caries in primary dentition.

Regarding mixed dentition, there was also a positive relationship between S-ALP and DMF/def. This was in line with [10] who reported a positive association between S-ALP and dental caries in adults (DMF) and was also in accordance with [38] who reported a positive correlation between ALP and DMF. That was in contradiction to the findings of [37] who reported an inverse relation between ALP and caries experience in permanent teeth. This could be due to variations in the methods used for collecting salivary samples, whether stimulated or unstimulated, the techniques employed for biochemical analysis, and the age group of the samples.

Regarding caries severity, there was a positive correlation between S-ALP and caries severity. This was not in agreement with [33] who reported no association between the level of ALP and the severity of dental caries. This was also against [39] who found a weak, non-significant negative correlation between ALP and caries severity. The controversial results may be due to different populations and study settings.

There was a positive correlation between BMI and S-ALP. This is in line with [39] who found a positive weak relation between BMI and ALP in the overweight group and with [11] who reported higher levels of ALP in obese children. This could be due to the fact the adipose tissue is a source of serum ALP and the existence of ALP in preadipocytes.

Limitations

1. The cross-sectional design of this study does not infer causality.

2. A factor with a minor effect will necessitate a larger sample size.

Conclusions

According to the results of the current study, the following can be concluded:

The elevated levels of S-ALP present a promising diagnostic marker for dental caries across both primary and mixed dentition, offering valuable insights for early detection and intervention. Moreover, high S-ALP levels during the primary dentition phase may enable early prediction of dental caries risk in permanent teeth, paving the way for more proactive dental care and preventive strategies. Additionally, the association of high S-ALP levels with childhood obesity highlights its broader relevance to pediatric health, suggesting that monitoring S-ALP could offer insights into both oral and overall well-being in children.

Recommendations

Based on the results of the present study, the following could be recommended:

1. Early identification of childhood obesity and dental caries should be performed by pediatric dentists during routine examinations, so the diseases can be prevented by using appropriate preventive measures.

2. Oral health promotion and health education programs should be implemented to highlight the vital role of healthy nutrition in both oral health and the overall well-being of children.

3. Further studies should be performed in different areas and governorates of Egypt, with children at different age groups and different socioeconomic levels to generalize the study findings.

Conflict of Interest Disclosure

The authors deny any conflicts of interest related to this study.

Acknowledgments

Not available.

Funding Statement

This study is “self-funded”.

References

  1. Rathee M, Sapra A (2023) Dental Caries. StatPearls. StatPearls Publishing, Treasure Island, FL.
  2. World Health Organization (2023) Oral Health.
  3. Mota-Veloso I, Soares MEC, Alencar BM, Marques LS, Ramos-Jorge ML, et al. (2016) Impact of untreated dental caries and its clinical consequences on the oral health-related quality of life of schoolchildren aged 8-10 years. Qual Life Res 25: 193-199.
  4. Kamel RM, Mehrem ES, Mabrouk MIA, Hussein HM (2020) Prevalence of obesity and overweight among children and adolescents in Minia Governorate, Egypt. Bioscience Research 17: 83-89.
  5. Aluckal E, Anzil K, Baby M, George EK, Lakshmanan S, et al. (2016) Association between body mass index and dental caries among anganwadi children of Belgaum City, India. J Contemp Dent Pract 17: 844-848.
  6. Peng R, Li S, Zhang H, Zeng H, Jiang B, et al. (2016) Weight status is associated with blood pressure, vital capacity, dental decay, and visual acuity among school-age children in Chengdu, China. Ann Nutr Metab 69: 237-245.
  7. Lempert SM, Froberg K, Christensen LB, Kristensen PL, Heitmann BL (2014) Association between body mass index and caries among children and adolescents. Community Dent Oral Epidemiol 42: 53-60.
  8. Arias-Bujanda N, Regueira-Iglesias A, Balsa-Castro C, Nibali L, Donos N, et al. (2020) Accuracy of single molecular biomarkers in saliva for the diagnosis of periodontitis: A systematic review and meta-analysis. J Clin Periodontol 47: 2-18.
  9. Hegde MN, Wali A, Punja A, Shetty CM (2014) Correlation between dental caries and alkaline phosphatase and calcium levels in serum and saliva in adult Indian population. Indo Am J Pharm Res 4: 2178-2182.
  10. Philip S, Rahila C, Krishnamurthy S (2019) Association of salivary calcium, inorganic phosphorous and alkaline phosphatase levels in relation to dental caries status - A cross sectional study. WJPR 8: 910-918.
  11. Jafar ZJ, Aldafaai RR (2022) Effect of nutritional status on dental caries and salivary alkaline phosphatase in a group of children. International Medical Journal 29: 64-67.
  12. Klein H, Palmer CE, Knutson JW (1938) Studies on dental caries. Public Health Rep 53: 685-732.
  13. Gruebbel AO (1944) A measurement of dental caries prevalence and treatment service for deciduous teeth. Journal of Dental Research 23: 163-168.
  14. Banting D, Eggertsson H, Ekstrand KR, Zandoná AF, et al. (2005) Criteria manual: International caries detection and assessment system (ICDAS II) Coordinating Committee. Baltimore, Maryland.
  15. Abd Elghaffar HA, Guindi SS, Magdy, MM, Alakkad MA, Elshafei RR (2023) Prevalence of Obesity in children with unexplained dizziness: A cross- sectional study. Fayoum University Medical Journal 11: 38-48.
  16. Abbass MMS, Mahmoud SA, El Moshy S, Rady D, AbuBakr N, et al. (2019) The prevalence of dental caries among Egyptian children and adolescences and its association with age, socioeconomic status, dietary habits and other risk factors. A cross-sectional study. F1000Res 8: 8.
  17. Kuczmarski RJ, Ogden CL, Guo SS, Grummer-Strawn LM, Flegal KM, et al. (2002) 2000 CDC growth charts for the United States: Methods and development. Vital Health Stat 11: 1-190.
  18. Angarita-Díaz MP, Simon-Soro A, Forero D, Balcázar F, Sarmiento L, et al. (2021) Evaluation of possible biomarkers for caries risk in children 6 to 12 years of age. J Oral Microbiol 13: 1956219.
  19. Jazaeri M, Malekzadeh H, Abdolsamadi H, Rezaei-Soufi L, Samami M (2015) Relationship between salivary alkaline phosphatase enzyme activity and the concentrations of salivary calcium and phosphate ions. Cell J 17: 159-162.
  20. Ahmed RF, Jaber WF (2020) Unstimulated whole salivary (SLPI & IL- 1RA) levels in relation to the cigarette smoking at periodontitis patients. International Medical Journal 27: 658-660.
  21. Bhattarai KR, Kim HR, Chae HJ (2018) Compliance with saliva collection protocol in healthy volunteers: Strategies for managing risk and errors. Int J Med Sci 15: 823-831.
  22. Thomas L (1998) Clinical laboratory diagnosis. (1 st edn), TH-Books Verlagsgeselleschaft, Frankfurt, 136-146.
  23. Almerich-Torres T, Montiel-Company JM, Bellot-Arcís C, Almerich-Silla JM (2017) Relationship between caries, body mass index and social class in Spanish children. Gac Sanit 31: 499-504.
  24. Chen L, Wu M, Gao Q, Zhang S, Zhang K, et al. (2023) The combined effect of pit and fissure sealant application and oral health education on oral health status of children aged 6-9 years: A 12-month follow-up study in Northeast China. BMC Oral Health 23: 809.
  25. Fryar CD, Gu Q, Ogden CL, Flegal KM (2016) Anthropometric reference data for children and adults: United States, 2011-2014. Vital Health Stat 3 Anal Stud 1-46.
  26. Mohamed AB, Fathy A, Altieb A (2023) Association between body mass index and dental caries among preschool and school children in Upper Egypt and potential role of family and demographic variables on the association. Al-Azhar Assiut Dental Journal 6: 207-225.
  27. Green Corkins K, Teague EE (2017) Pediatric nutrition assessment: Anthropometrics to zinc. Nutr Clin Pract 32: 40-51.
  28. Patel RM, Varma S, Suragimath G, Zope S (2016) Estimation and comparison of salivary calcium, phosphorous, alkaline phosphatase and pH levels in periodontal health and disease: A cross-sectional biochemical study. J Clin Diagn Res 10: ZC58-61.
  29. Prakash AR, Indupuru K, Sreenath G, Kanth MR, Reddy AVS, et al. (2016) Salivary alkaline phosphatase levels speak about association of smoking, diabetes and potentially malignant diseases??? J Oral Maxillofac Pathol 20: 66-70.
  30. Ventura TMO, Santos PSS, Ribeiro NR, de Lima Leite A, Taira EA, et al. (2021) Is there difference in the comparative and quantitative salivary proteome between stimulated and unstimulated saliva in head and neck cancer patients treated by radiotherapy? Oral Oncol 118: 105315.
  31. Ni P, Xie J, Chen C, Jiang Y, Zhao Z, et al. (2019) Spectrophotometric determination of the activity of alkaline phosphatase and detection of its inhibitors by exploiting the pyrophosphate-accelerated oxidase-like activity of nanoceria. Mikrochim Acta 186: 320.
  32. Shahrabi M, Nikfarjam J, Alikhani A, Akhoundi N, Ashtiani M, et al. (2008) A comparison of salivary calcium, phosphate, and alkaline phosphatase in children with severe, moderate caries, and caries free in Tehran's kindergartens. J Indian Soc Pedod Prev Dent 26: 74-77.
  33. Vahedi M, Davoodi P, Goodarzi MT, Rezaei-Soufi L, Jazaeri M, et al. (2012) Comparison of salivary ion activity product for hydroxyapatite (I PHA ), alkaline phosphatase and buffering capacity of adults according to age and caries severity. J Dent 13: 139-145.
  34. Turan S, Topcu B, Gökçe I, Güran T, Atay Z, et al. (2011) Serum alkaline phosphatase levels in healthy children and evaluation of alkaline phosphatase z-scores in different types of rickets. J Clin Res Pediatr Endocrinol 3: 7-11.
  35. Jain A, Jain V, Suri SM, Jain RK (2016) Prevalence of dental caries in male children from 3 to 14 years of age of Bundelkhand region, India. Int J Community Med Public Health 3: 787-790.
  36. Omer ZQ, Khoshnaw BA (2017) Evaluation of salivary calcium, phosphorus and alkaline phosphatase level in children (4-6 years) with nursing caries in Erbil City. Zanco J Med Sci 21: 1943-1952.
  37. Diab BS, Ja'far ZJ, Abd ST (2016) Impact of secretor status (AB Blood Type) in relation to caries experience related to salivary alkaline phosphatase among a group of school children. IOSR Journal of Dental and Medical Sciences 15: 75-80.
  38. Singh MM, Rajpal S, Gupta R, Srivastava PA, Ravishankar K, et al. (2021) Relationship of dental caries experience in pediatric subjects with inorganic constituents of saliva: A quantitative study. Int J Dent Med Sci Res 3: 704-710.
  39. Ja’far ZJ, Al-Asadi AH, Abd ST (2017) Salivary TNF-α and alkaline phosphatase in relation to gingival health condition according to nutritional status among a group of school children. IJSR 6: 1902-1905.

Citation

Abdelrahman SA, Abbas HMD, Hanafy SS (2024) Salivary Alkaline Phosphatase as a Dual Biomarker for Dental Caries and Obesity in Egyptian Children: A Cross-sectional Study. Int J Oral Dent Health 10:168. doi.org/10.23937/2469-5734/1510168